Académie de Créteil http://www.ac-creteil.fr/physique
Succession de réactions
Version adaptée.
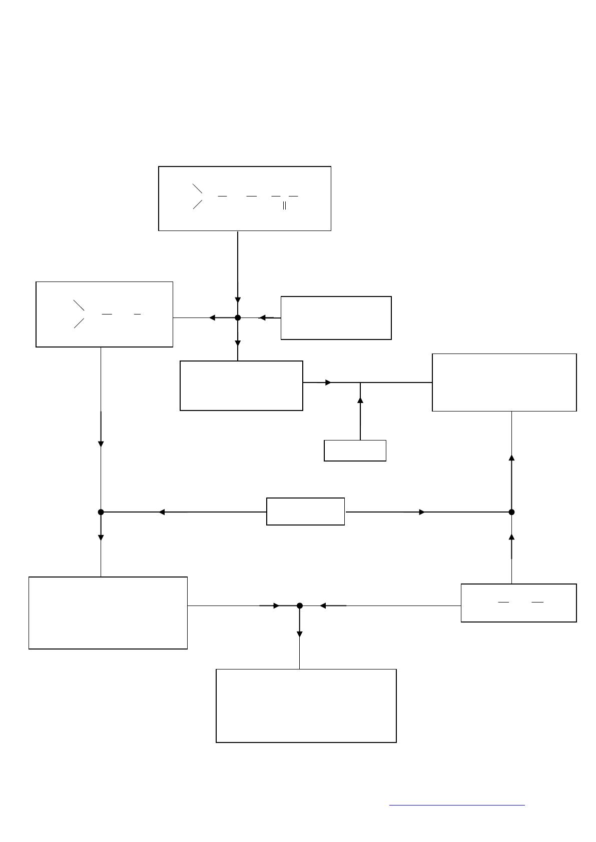
Dans l’organigramme ci-joint, un point symbolise une réaction entre les réactifs situés en
amont, les produits étant situés en aval. Compléter les espaces vides par la formule
topologique du composé organique ou la formule du composé minéral.
H3O+ + Cl-
K+ + MnO4-
H3CCH CH2O C
O
CH3
H3C
H3CCH CH2OH
H3C
H3C CH2OH
Académie de Créteil http://www.ac-creteil.fr/physique
Version initiale.
Dans l’organigramme ci-joint, un point symbolise une réaction entre les réactifs situés en
amont, les produits étant situés en aval. Compléter les espaces vides par la formule semi
développée du composé organique ou la formule du composé minéral.
Adaptation.
La maîtrise des formules topologiques n’est pas une compétence exigible.
Améliorer la lisibilité de l’énoncé.
O
O
K+ + MnO4-
K+ + MnO4-
H3O+ + Cl-
OH
OH
1 / 2 100%
La catégorie de ce document est-elle correcte?
Merci pour votre participation!

Faire une suggestion

Avez-vous trouvé des erreurs dans l'interface ou les textes ? Ou savez-vous comment améliorer l'interface utilisateur de StudyLib ? N'hésitez pas à envoyer vos suggestions. C'est très important pour nous!