
5
Direction Générale du Trésor
et de la Politique Économique
les plus bas parmi les pays participant au mécanisme
de change européen (MCE 1). On évite ainsi d’inclure
dans la prime de risque sur les obligations un risque de
change lié aux possibilités de réalignements des parités
au sein du mécanisme de change.
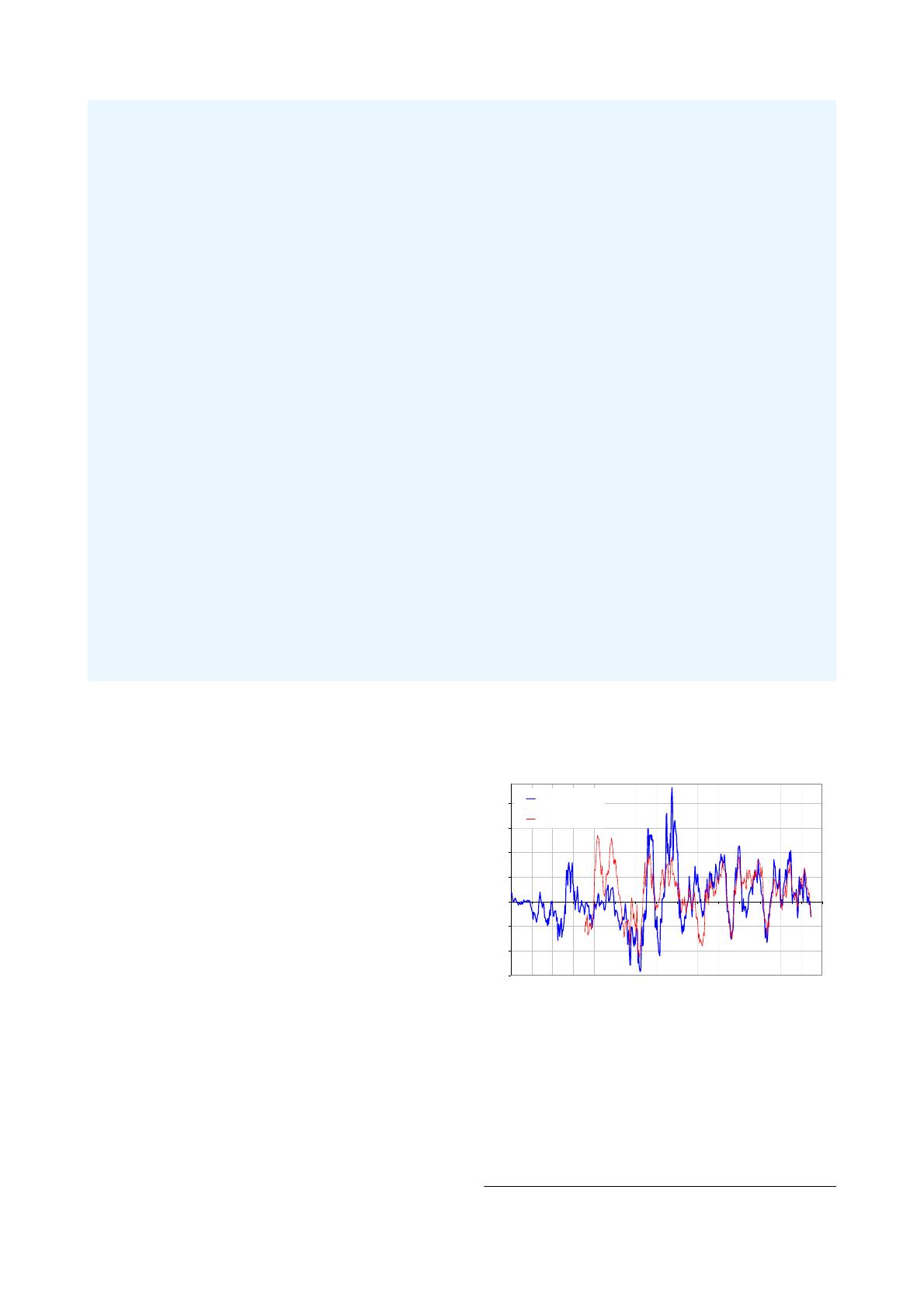
Le graphique 3 retrace l'évolution des «rendements
excédentaires» en Allemagne et aux États-Unis. Ceux-
ci ont été calculés à l'aide d'obligations zéro-coupon,
disponibles depuis 1961 aux États-Unis et 1972 en
Allemagne.
2.2 Principales caractéristiques des «rende-
ments excédentaires»
Plusieurs observations se dégagent de l'analyse des
«rendements excédentaires» :
Ils sont en moyenne positifs sur la période 1972-
2005, à +2.5 points aux États-Unis et +3,6 points
en Allemagne. Ce phénomène reflète l'existence
d'une prime de risque sur le niveau des taux longs, ce
qui est logique dans la mesure où acheter une obliga-
tion souveraine de maturité 10 ans pour la revendre un
an plus tard est une stratégie risquée10. En outre, il ne
peut être exclu que les agents fassent en plus des
erreurs systématiques dans leurs anticipations.
Ils sont variables au cours du temps, et anormale-
ment répartis autour de leur moyenne. Les pério-
des où les «rendements excédentaires» apparaissent
négatifs ne durent pas, et elles sont rapidement suivies
par des périodes au cours desquelles les «rendements
excédentaires» sont durablement positifs. Cela pour-
rait refléter une certaine persistance des primes de ris-
que exigées, peut-être parce que les incertitudes des
agents mettent du temps à se dissiper.
Leur variance a diminué tendanciellement depuis
les années 1980. Si les agents sont rationnels, alors les
erreurs d'anticipation qu’il commettent sont de moins
forte ampleur.
Leur niveau et leur évolution sont similaires aux
États-Unis et en Allemagne depuis 1990. Le pro-
cessus d'intégration financière a sans doute participé à
cette évolution. C’est sans doute plutôt les «rende-
ments excédentaires» américains qui ont influencé
ceux de l'Allemagne que l'inverse11.
Leur moyenne sur 5 ans a légèrement diminué,
tendanciellement à partir de 1987 aux États-Unis,
et en deux temps en Allemagne, entre 1987 et
1994, puis à partir de 1998. La hausse des «rende-
ments excédentaires» moyens en Allemagne entre
1995 et 1998 reflète peut-être un ajustement en niveau
des biais allemands sur ceux des États-Unis, les taux
longs américains ayant une plus forte influence sur
ceux de l'Allemagne à partir de 1990.
Ces observations suggèrent ainsi que l’estimation des
taux futurs via les «rendements excédentaires»
(cf. encadré 1) est biaisée mais que le biais n’est pas
constant. Il semble avoir baissé tendanciellement, aux
États-Unis depuis 1987, et en Allemagne récemment.
3. L’évolution du biais pourrait refléter une
plus grande stabilité macro-économique
3.1 Une prise en compte de l’incertitude sur
l’avenir
Dans la mesure où les biais dépendent de l'incertitude
des agents sur l'avenir, ils devraient être en partie pré-
visibles. Cochrane et Piazzesi12 ont récemment mon-
tré qu'une combinaison linéaire de taux forward
observés ex-ante expliquerait jusqu'à 35% de la
variance des «rendements excédentaires» observés ex-
post, un an plus tard, aux États-Unis13. Ces excès de
rendements prévisibles refléteraient pour les auteurs
une prime de risque, qui aurait tendanciellement dimi-
nué depuis 1984.
Si l'accroissement de la stabilité économique a réduit
le niveau des primes de risque exigées sur les taux
longs, alors des variables capturant cette plus grande
stabilité devraient également permettre d'expliquer les
excès de rendements constatés sur les obligations.
C'est ce que l'on observe sur données américaines et
allemandes (cf. encadré 2).
3.2 L’estimation du lien entre biais et grandeurs
macro-économiques
Selon les estimations, une hausse de la volatilité du
PIB14 de 1 point impliquerait une hausse de 3,9
points des rendements prévisibles aux États-
Unis, et de 4,6 points en Allemagne, les agents
étant plus incertains sur la direction future du PIB. De
même, un élargissement de 100 pdb de la pente
des taux sur sa partie courte impliquerait une
hausse des rendements prévisibles de 5,1 points
aux États-Unis et de 7,0 points en Allemagne. La
pente de taux reflèterait l'incertitude des agents sur
l'orientation de la politique monétaire au-delà d'un an.
Elle pourrait capter par exemple une prime d'inflation.
Les «rendements excédentaires» ainsi prévus ont
tendanciellement diminué aux États-Unis depuis
1984. Cette baisse est en partie attribuable à la
moindre volatilité du PIB réel aux États-Unis.
Elle est passée de 3,5% en 1984 à 1% en 2005, ce qui
a conduit, toutes choses égales par ailleurs, à une
baisse de 10 points du niveau des «rendements excé-
dentaires prévisibles».
Au-delà de cette baisse tendancielle, il apparaît que les
«rendements excédentaires prévisibles» sont tempo-
rairement remontés au début des années 1990, puis au
début des années 2000. Entre ces épisodes, ils ont eu
tendance à diminuer, même s'ils présentent une cer-
taine persistance.
Ces évolutions sont très similaires à celles présentées
par Cochrane et Piazzesi. En particulier, les rende-
ments prévisibles tendent à évoluer de la même
façon que le taux de chômage américain. Ils reflè-
teraient donc une prime de risque plutôt que des
erreurs systématiques d’anticipation, les agents exi-
geant une rémunération plus forte lorsque le chômage
augmente.
10. Le prix de vente d'une obligation dans un an est incertain.
11. Test de Granger.
12. Cochrane et Piazzesi (2002) : «Bond risk premia», NBER Working
Paper n°9178.
13. Lorsque les rendements excédentaires sont calculés en supposant la
détention pendant un an d'une obligation de maturité dans 5 ans.
14. A chaque date, la volatilité du PIB réel est mesurée par l'écart-type,
sur les douze derniers trimestres, du taux de croissance en glisse-
ment annualisé du PIB réel.