IV- Les alcools
1- Présentation
2- Définition et nomenclature
3- Les alcools dont la molécule a 4 atomes
de carbone
4- Les classes d’alcool
1- Présentation des alcools
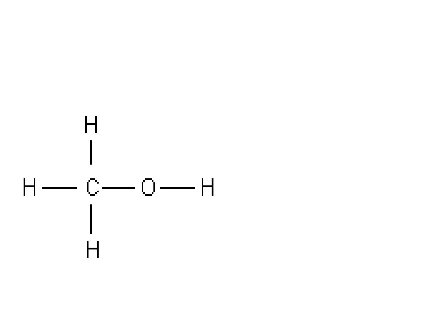
A partir des photos des modèles
moléculaires ,
écrire la formule veloppée (FD)
puis la formule semi-développée (FSD)
Entourer le groupe fonctionnel surla FD
Exemple 1 : le méthanol
Exemple 1 : le méthanol
Nom usuel : alcool
méthylique
Nom officiel : le
méthanol
FSD : CH3-OH
FSD : CH3OH
Il est toxique
FD
On entoure le groupe fonctionnel
1 / 32 100%
La catégorie de ce document est-elle correcte?
Merci pour votre participation!

Faire une suggestion

Avez-vous trouvé des erreurs dans l'interface ou les textes ? Ou savez-vous comment améliorer l'interface utilisateur de StudyLib ? N'hésitez pas à envoyer vos suggestions. C'est très important pour nous!