FICHE 1
Fiche à destination des enseignants
3ème P13 anglais
The dangers of speed
Type d’activité
Activité documentaire à partir d’un document en anglais
Programme
Connaissances
La distance de freinage croît plus rapidement que la vitesse de freinage
Capacités
Exploiter les documents relatifs à la sécurité routière
Socle commun de connaissances et de compétences
[Compétence 3]
Extraire d’un document (papier ou numérique) les informations relatives à un thème de travail
Reconnaître si deux grandeurs sont ou non proportionnelles
Lire, utiliser, interpréter des données présentées sous forme de tableaux, de graphiques
Comparer des nombres
Calculer une longueur, une durée
Calculer, utiliser une formule
Reformuler par les moyens de son choix les données utiles prélevées
Traduire des symboles, des consignes, des observations, des schémas ; coder, décoder
Mettre en œuvre un raisonnement, une méthode, un théorème, une formule, un protocole
expérimental, une technique
Exprimer un résultat, une solution, une conclusion par une phrase correcte (expression,
vocabulaire, sens…)
[Compétence 2]
Comprendre le sens général de documents écrits :
- Être capable de lire un message informatif assez simple, éventuellement accompagné
d’un document visuel
- Être capable de lire des écrits factuels simples
Savoir repérer des informations ciblées dans un document écrit
Être capable d’identifier des informations précises contenues dans des écrits factuels simples
Commentaires sur
l’activité proposée
Cette activité illustre la rubrique
C. « De la gravitation ….à l’énergie mécanique »
C2. Énergie cinétique et sécurité routière
« Pourquoi la vitesse est-elle dangereuse ? »
du programme de Troisième.
Cette étude documentaire a pour objectifs :
- sensibiliser les élèves aux dangers de la vitesse ;
sensibiliser les élèves aux règles de bonne conduite.
Pré-requis
Notion de vitesse
Proportionnalité
FICHE 2
Texte à distribuer aux élèves
3ème P13 anglais
The dangers of speed
Question 1
Où Peter circule-t-il sur son scooter ? Cocher la bonne réponse :
A. en ville
B. à la campagne
C. sur autoroute
Question 2
Quel est l’état de la route sur laquelle Peter conduit son scooter ? Cocher la bonne réponse :
A. route sèche
B. route mouillée
C. route couverte de neige
Question 3
À partir des indications des documents, donner la relation mathématique liant la distance d’arrêt dA, la
distance de freinage dF et la distance de réaction dR :
………………………………………………………………………………………………………..
Die Zeit zwischen dem Zeitpunkt, da der Fahrer den
Fuβgänger auf der Straβe sieht, und dem Zeitpunkt, da der
Fahrer anfängt zu bremsen, heiβt ‘Reaktionszeit’ ‘tR’.
Die Strecke, die in der Reaktionszeit zurückgelegt wird, heiβt
dR’.
Die zurückgelegte Strecke zwischen dem Zeitpunkt, da der
Fahrer anfängt zu bremsen, und dem Zeitpunkt, da das Auto
hält, heiβt ‘Bremsweg’ ‘dF’.
Die gesamte Strecke dA, die der Fahrer zum Halten braucht,
besteht aus der Summe der (in der Reaktionszeit)
zurückgelegten Strecke und des Bremswegs.
Peter is driving his scooter at a V1 speed on a dry road down town. He sees a pedestrian who looks
absent-minded on a crossing.
We know that :
- The scooter is in good condition.
- 45 km/h is the maximum speed allowed for scooters on all types of roads.
- The normal reaction time of the driver is about one second.
tR is the reaction time. It’s the time calculated between
the moment when the driver sees the obstacle and the
moment when he starts braking.
dR is the distance covered during this reaction time.
dF is the braking distance covered between the moment
the driver actionnates the brakes and the moment when
the vehicle stops.
dA is the stopping distance (Fig.1). It is equal to the
distance covered during the reaction time added to the
braking distance.
Observer le dessin avec ses légendes ci-dessus (Fig.2) puis répondre aux questions.
Question 4
Dans le cas de la figure 2, que vaut la distance dR parcourue par le conducteur pendant le temps de
réaction ? Cocher la bonne réponse :
A. 11 m
  B. 21 m
  C. 10 m
Question 5
Quelle est la distance de freinage dF parcourue avant l’arrêt complet du scooter ? Cocher la bonne
réponse :
A. 11 m
  B. 21 m
  C. 10 m
Question 6
La relation qui permet de déterminer le temps de réaction « tR » en fonction de la vitesse « v » du
scooter et de la distance parcourue « dR » est : cocher la (les) bonne(s) réponse(s) :
A. v = dR / tR
  B. tR = v × dR
C. dR = v / tR
  D. tR = dR / v
Question 7
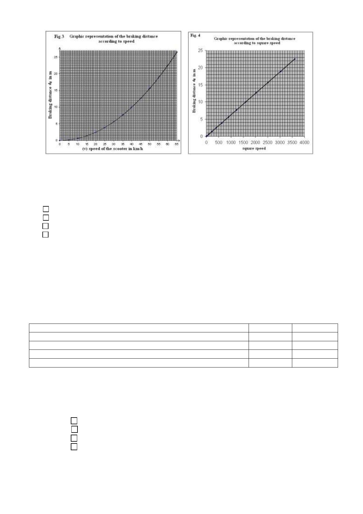
D’après l’allure des graphiques Fig.3 et Fig.4, on peut dire que la distance de freinage est : Cocher la
(les) bonne(s) réponse(s) :
A. proportionnelle à la vitesse du scooter
B. non proportionnelle à la vitesse du scooter
C. proportionnelle au carré de la vitesse du scooter
D. non proportionnelle au carré de la vitesse du scooter
Justifier la (les) réponse(s)
……………………………………………………………………………………………………………
……………………………………………………………………………………………………………
Question 8
On considère le cas Peter aurait roulé avec une vitesse initiale de 60 km/h au lieu des 45 km/h
autorisés. Répondre dans chaque cas en mettant une croix dans la case « VRAI » ou « FAUX ».
VRAI
FAUX
Question 9
Dans le cas Peter roulerait avec une vitesse de 60 km/h, serait-il en infraction ? Cocher la bonne
réponse :
A. Oui, car il dépasserait la vitesse maximale autorisée en ville
B. Non, car il porte un casque et des gants
C. Oui, car la route est sèche
D. Non, car Pierre n’est pas fatigué et très attentif
Question 10
Placer les étiquettes ci-dessous dans le bon ordre pour écrire deux règles à observer quand on roule
en scooter :
Vocabulaire :
Homologué = qui est reconnu officiellement comme étant conforme à certaines normes.
1ère phrase :
….……………………………………………………………………………………………………….
…………………………………………………………………………………………………………..
2ème phrase :
…..……………………………………………………………………………………………………….
…………………………………………………………………………………………………………….
1 / 6 100%
La catégorie de ce document est-elle correcte?
Merci pour votre participation!

Faire une suggestion

Avez-vous trouvé des erreurs dans l'interface ou les textes ? Ou savez-vous comment améliorer l'interface utilisateur de StudyLib ? N'hésitez pas à envoyer vos suggestions. C'est très important pour nous!