Neuropsychopharmacologie 2016-2017
cours de Michel Vignes
2-Plasticité(s) synaptique(s) dans l'amygdale
1-Plasticité synaptique dans le cervelet
3-Plasticité synaptique et modèles physiopathologies:
-Rappel sur la LTD et bidirectionnalité de la plasticité
-Effet du stress chronique et du vieillissement
-Effet du stress prénatal
-Effet de traitement chronique à la L-DOPA
-Modèles de maladie d'Alzheimer
-Syndrome du retard mental lié à l'X fragile
-Drogues d'abus et plasticité
1-Plasticité synaptique dans le cervelet
2-Plasticité synaptique dans le cervelet
Rôle moteur majeur: coordination motrice, équilibre, gestion des
mouvements complexes, corrections des mouvements, réflexes moteurs
(réflexe vestibulo-oculaire, réflexe de clignement des paupières,…).
Dysfonctionnements du cervelet associés à des désordres moteurs
(ataxies) d’origine génétique ou accidentelle.
La plasticité synaptique, notamment la LTD, est associée aux contrôles
moteurs.
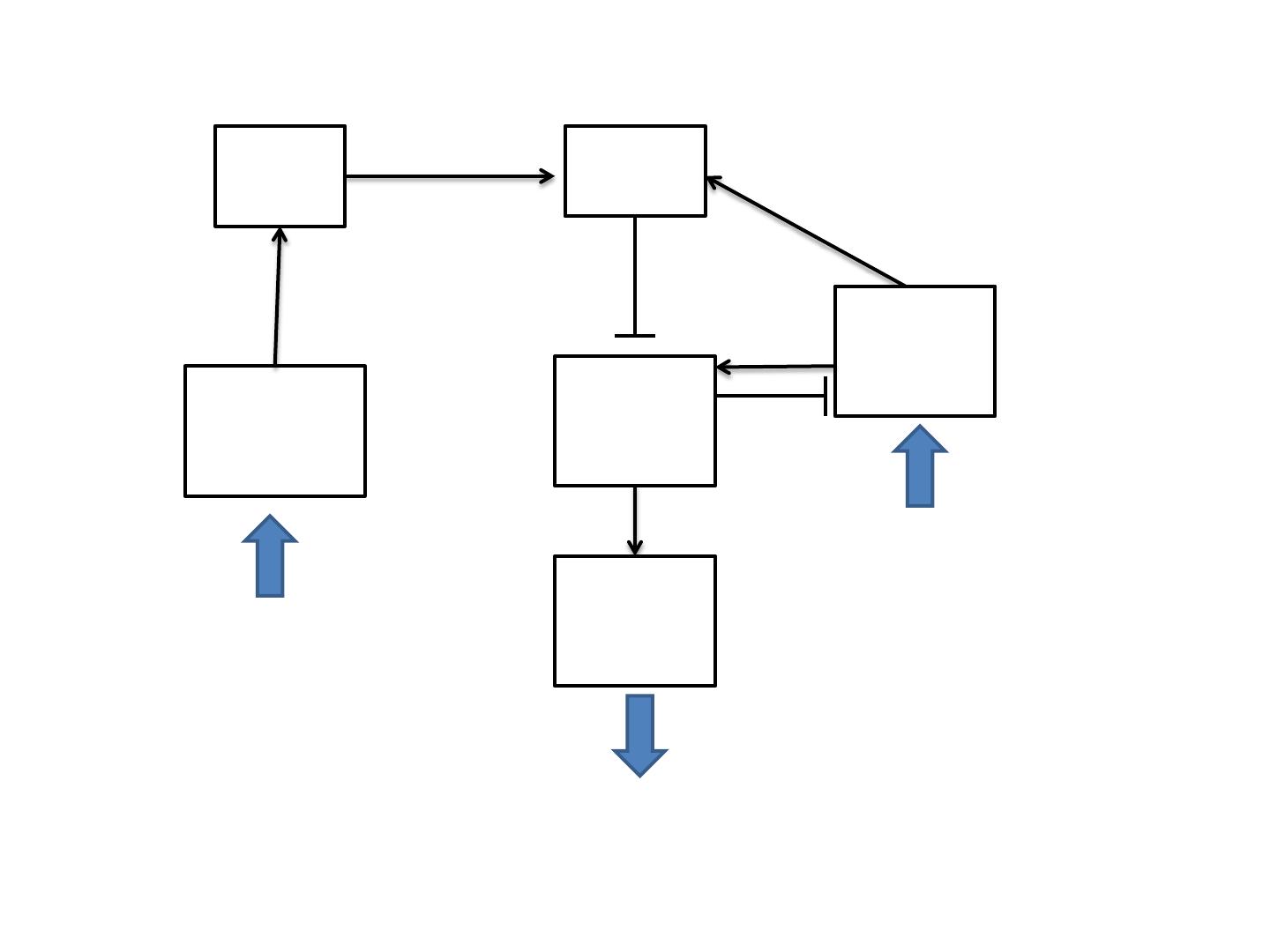
Rappels anatomiques
Fibres parallèles (PF)
Cellule de Purkinje (PC)
Cellule granulaire (GC)
Fibre grimpante (‘Climbing fifer’, CF)
Fibre moussues (MF)
Le cortex cérébelleux se présente sous forme de couches. L’élément central est la cellule de Purkinje qui reçoit deux afférences: en
provenance des fibres parallèles et des fibres grimpantes.
Cellule de
Purkinje
Noyau
interposé
Cellule
granulaire
Noyaux du
Pont
Fibres moussues
Fibres parallèles
Cortex (auditif, visuel,…)
Noyau de
l’olive
(bulbe)
Noyau rouge
Fibres grimpantes
GABA
Réponse motrice
Entrées sensorielles
périphériques
(proprioception,…)
1 / 163 100%
La catégorie de ce document est-elle correcte?
Merci pour votre participation!

Faire une suggestion

Avez-vous trouvé des erreurs dans l'interface ou les textes ? Ou savez-vous comment améliorer l'interface utilisateur de StudyLib ? N'hésitez pas à envoyer vos suggestions. C'est très important pour nous!