
Journal Identification = PNV Article Identification = 0544 Date: September 1, 2015 Time: 12:21 pm
C. Boully, O. Hanon
Tableau 3. Devenir des patients après une première hospitalisa-
tion pour insuffisance cardiaque selon l’âge.
Table 3. Outcome of patients after a first hospitalization for heart
failure, according to age.
1 an 2 ans
Survie globale (%)
70-79 ans 77,4 68,0
80-89 ans 65,7 52,3
≥90 ans 49,7 34,3
Taux de réadmission pour
insuffisance cardiaque (%)
70-79 ans 40,5 51,5
80-89 ans 49,0 63,1
≥90 ans 61,2 75,6
Taux de réadmission pour
toute cause confondue (%)
70-79 ans 72,7 83,0
80-89 ans 73,6 84,8
≥90 ans 77,5 88,4
Patients admis au moins une fois pour
insuffisance cardiaque sans décès (%)
70-79 ans 17,5 19,5
80-89 ans 15,2 15,2
≥90 ans 12,0 12,4
extracardiaques (insuffisance veineuse, hypoalbuminémie,
insuffisance rénale, lymphœdème). L’oligurie est difficile
à mettre en évidence chez les malades incontinents et la
tachycardie manque souvent.
Enfin, certains signes généraux non spécifiques tels
qu’une asthénie, des troubles du comportement, une
désorientation temporo-spatiale, des troubles du som-
meil, des chutes, une perte d’autonomie sont autant de
manifestations cliniques qui peuvent parfois être la seule
manifestation d’une IC chez un octogénaire [14].
Principales comorbidités
chez l’insuffisant cardiaque
L’hypotension orthostatique
Plusieurs études ont montré que l’hypotension ortho-
statique augmente le risque de décès, d’accident vas-
culaire cérébral, d’infarctus du myocarde, de chutes et
d’hospitalisations [15]. Sa prévalence peut atteindre 50 %
chez l’insuffisant cardiaque âgé [16]. Elle se définit par une
baisse de la pression artérielle systolique (PAS) de plus de
20 mmHg et/ou de la pression artérielle diastolique (PAD) de
plus de 10 mmHg, à 1 et/ou 3 minutes après le passage en
orthostatisme [17]. Sa présence nécessite une adaptation
thérapeutique (bas de contention, hydratation suffisante,
réduction ou arrêt des psychotropes, réduction ou arrêt des
médicaments vasodilatateurs (en particulier arrêt des déri-
vés nitrés et alphabloquants) ou des antihypertenseurs).
Les troubles cognitifs
La démence peut masquer un diagnostic d’IC via les dif-
ficultés de communication et l’anosognosie [18]. Le patient
est alors incapable de bien décrire ses symptômes, ce
qui rend l’interrogatoire peu contributif. Les troubles cog-
nitifs peuvent retentir non seulement sur le pronostic ou
l’autonomie, mais aussi sur la compréhension des conseils
et l’observance thérapeutique [19]. De même, leur pré-
sence modifie la prise en charge des médecins et favorise
notamment la sous-prescription des traitements recom-
mandés dans l’insuffisance cardiaque.
Plusieurs études indiquent une fréquence plus élevée
des troubles cognitifs chez les patients porteurs d’une IC.
Une méta-analyse récente menée chez 17 785 patients
retrouve ainsi une augmentation significative des troubles
cognitifs chez les insuffisants cardiaques en comparaison
aux sujets du même âge sans insuffisance cardiaque (risque
relatif = 1,62 (1,48-1,79)) [20]. La présence de troubles
cognitifs aggrave le pronostic et augmente la mortalité
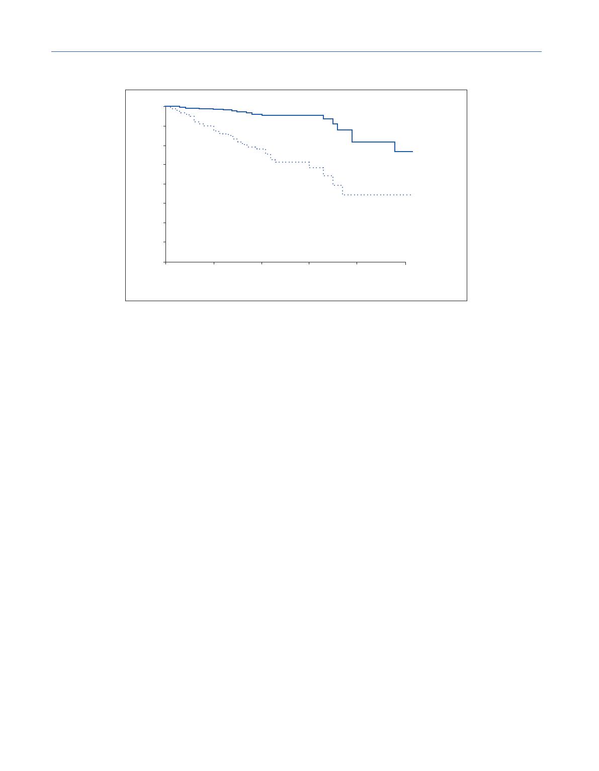
des insuffisants cardiaques. Dans l’étude GIFA menée chez
1 113 insuffisants cardiaques, la mortalité est significative-
ment multipliée par 4,9 (2,9-8,3) en présence de troubles
cognitifs [21] (figure 3). Une autre étude retrouve des résul-
tats similaires avec une augmentation du risque de décès
de 1,83 (1,26-2,65) (p = 0,002) en cas de fonction sys-
tolique altérée et de 2,37 (1,50-3,74) (p = 0,001) en cas
de fonction systolique préservée (p = 0,002) [22]. Cette
étude montre également que les démences représentent
le second facteur de mortalité des insuffisants cardiaques
(après l’insuffisance rénale sévère).
À l’inverse, l’IC peut aussi être un facteur d’aggravation
d’une démence préexistante et parfois même représenter
une circonstance de découverte d’une démence jusque-là
non connue. Ainsi, une aggravation de la démence peut
s’observer au moment d’une décompensation cardiaque.
C’est pourquoi lors d’un déclin cognitif rapide et/ou de la sur-
venue de troubles du comportement aigus chez un patient
dément, il est nécessaire de rechercher systématiquement
la décompensation d’une pathologie chronique, en particu-
lier d’une maladie cardiovasculaire [23].
En résumé, les troubles cognitifs doivent impérati-
vement être dépistés et évalués car ils peuvent retentir
non seulement sur le pronostic ou l’autonomie, mais
aussi sur la compréhension des conseils et l’observance
thérapeutique.
16 Geriatr Psychol Neuropsychiatr Vieil, vol. 13, suppl ´
ement 1, septembre 2015
Copyright © 2017 John Libbey Eurotext. Téléchargé par un robot venant de 88.99.165.207 le 25/05/2017.