
Vingt-sept cas de rage ont été
diagnostiqués, en tout, chez l’homme
depuis la Seconde guerre mondiale. Quant
au dernier décès humain dû à la rage, il
remonte à 1986.
Mesures d’éradication
La vaccination annuelle obligatoire des
animaux de compagnie et la vaccination
des animaux d’élevage sur les sites
des foyers ont permis d’arrêter net la
propagation de l’infection entre les animaux
domestiques. Cette méthode s’est toutefois
révélée inefficace pour éradiquer la rage
transmise par le renard roux et le chien
viverrin. Par conséquent, une nouvelle
stratégie, reposant sur une vaccination
orale antirabique (VOAR) menée à long
terme et à grande échelle, a été mise au
point au cours de la période 2003-2004. La
première campagne de VOAR a été lancée
en automne 2005 et couvrait les deux
tiers du territoire estonien dans sa partie
septentrionale. À compter du printemps
suivant, les activités de VOAR ont été
étendues aux régions méridionales du
pays. De 2006 à 2010, une campagne de
distribution aérienne d’appâts a été mise
en place au printemps et en automne sur
l’ensemble du territoire, à l’exception de
certaines zones bien précises (étendues
d’eau, zones urbaines, routes, etc.).
Des appâts de type Rabigen SAG2 ont
été distribués manuellement, à l’aide de
tubes spécialement conçus, depuis de
petits avions, en respectant le maintien
d’une densité de 20 appâts au kilomètre
carré. En moyenne, 860 000 appâts
oraux ont été distribués lors de chaque
campagne, soit 1,72 millions d’appâts par
an. Grâce à la conduite bisannuelle de
campagnes de VOAR couvrant l’ensemble
du pays, l’incidence des cas de rage a
considérablement diminué (passant de
266 cas en 2005 à 0 cas en 2010).
Compte tenu d’une situation sanitaire
favorable au regard de la rage, depuis
2011 la VOAR ne couvre plus qu’une zone
tampon d’une largeur de 20 à 50 km
(Fig. 2) pour une surface totale de
9 325 km2 dans les régions du nord-est, du
sud-est et du sud du pays adjacentes à des
pays infectés.
Surveillance et contrôle
La surveillance passive de la rage
en Estonie s’appuie sur un réseau de
vétérinaires habilités et de vétérinaires
officiels. Tous les cas suspects de
rage doivent être notifiés aux Services
vétérinaires, puis des échantillons sont
prélevés et transmis au Laboratoire
estonien responsable des questions
vétérinaires et de l’alimentation (VFL).
Le coût des enquêtes menées dans le
cadre de la lutte contre la rage (ainsi que
le coût de la vaccination prophylactique
des animaux de compagnie) est couvert
par le budget de l’État. Les échantillons
prélevés dans le cadre des campagnes
de VOAR, à des fins de surveillance et de
contrôle, sont analysés par le Laboratoire
central VFL à Tartu, Laboratoire de
référence national pour la rage. Quant au
service du VFL situé à Tallinn, il est chargé
de diagnostiquer les animaux, issus de
la partie septentrionale du pays, que l’on
soupçonne d’avoir contracté la rage.
Outres les enquêtes susmentionnées
afférentes aux animaux sauvages et
domestiques soupçonnés d’être atteints
de la rage qui sont menées afin de
contrôler l’efficacité du programme de
VOAR, des échantillons de cerveaux sont
également prélevés depuis 2008 sur huit
renards/chiens viverrins par 100 km2 en
vue d’analyser le virus. Depuis 2009,
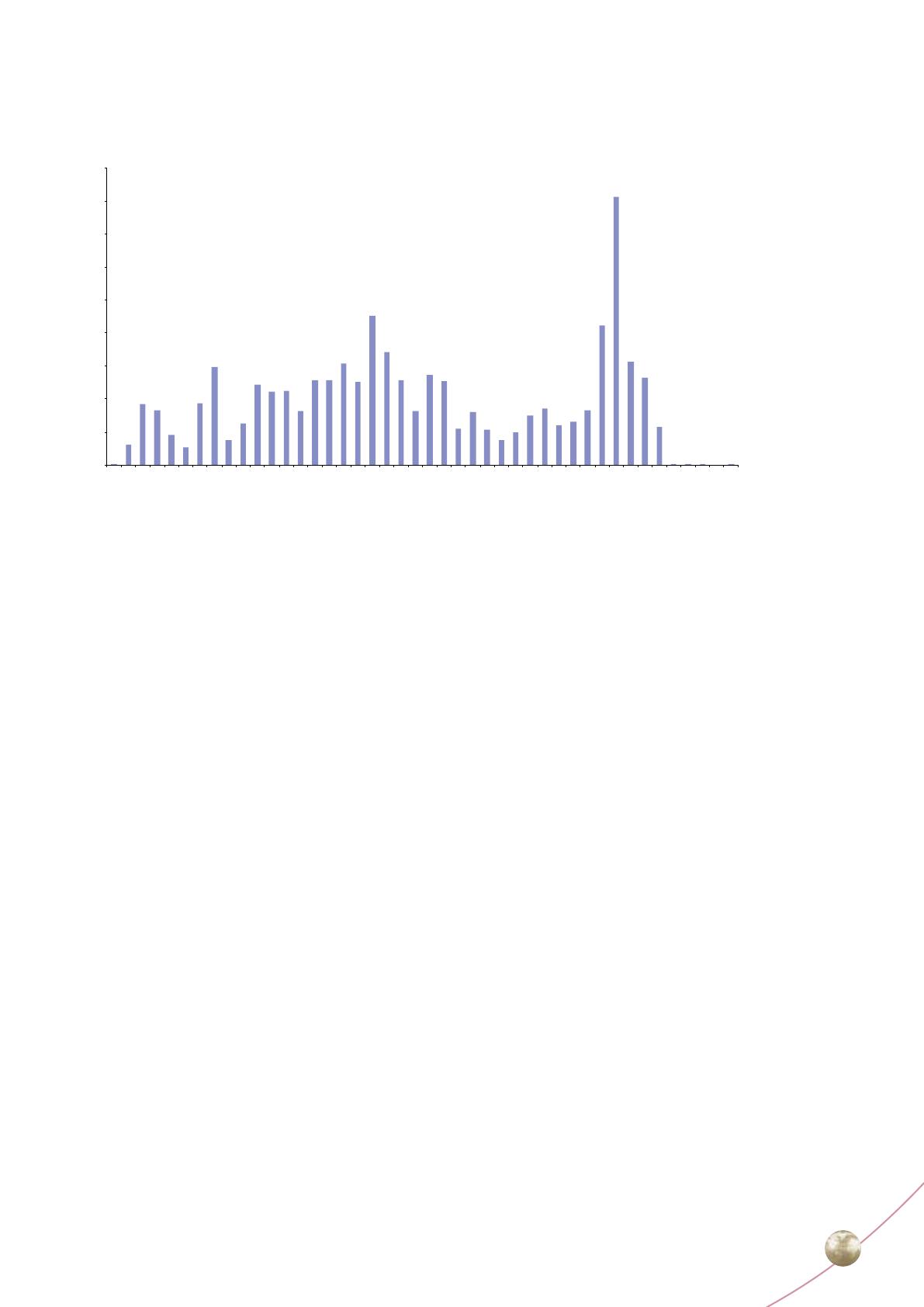
3
61
186
167
91 53
187
297
75
127
243
221
224
162
256
256
308
251
451
343
258
164
272
254
110
160
108
74 99
150
170
120
130
167
422
813
314
266
114
4 3 3 0 1
0
100
200
300
400
500
600
700
800
900
1968
1970
1972
1974
1976
1978
1980
1982
1984
1986
1988
1990
1992
1994
1996
1998
2000
2002
2004
2006
2008
2010
Années
Fig. 1
Cas de rage de 1968 à 2011
l’OIE et ses partenaires
59
2013 • 3