
L’essor du secteur tertiaire au Luxembourg
Croissance exceptionnelle entre 1995 et 2000
Les branches des services particulièrement
dynamiques dans cet intervalle de temps sont à part les
services financiers (6.5%), les activités de transports et
communications (10.7%), les services de santé et
d’actions sociales (6.2%), les services immobiliers, de
location et aux entreprises (6.1%).
Tableau 2 : Taux de croissance de la valeur ajoutée brute en
volume de l’économie luxembourgeoise (moyennes annuelles)
Branche d'activité économique
Ensemble des branches - Total 5.7 3.6 1.9 3.7
Agriculture, chasse et sylviculture; pêche
et aquaculture -1.5 -6.1 -2.6 -3.4
Industrie, y compris énergie 4.9 1.6 -6.6 -0.1
Construction 3.7 4.9 1.3 3.3
Services 6.0 3.9 2.9 4.2
Commerce; réparations automobiles et
d'articles domestiques; hôtels et restaur-
ants, transports et communications 7.2 4.3 1.6 4.3
Commerce; réparations automobiles et
d'articles domestiques 4.8 3.2 -0.6 2.5
Services d'hotellerie et de restauration 2.1 -1.2 -4.4 -1.2
Transports et communications 10.7 6.5 5.0 7.4
Activités financières; immobilier, location
et services aux entreprises 6.3 3.8 3.7 4.6
Services financiers 6.5 4.6 3.2 4.8
Services immobiliers, de location et 6.1 2.9 4.3 4.4
Autres activités de services 3.8 3.7 2.1 3.2
Services d'administration publique 3.5 3.3 1.3 2.7
Éducation 4.7 1.9 2.7 3.1
Services de santé et d'action sociale 6.2 6.5 3.8 5.5
Services collectifs, sociaux et personnels -1.8 5.1 0.5 1.2
Services domestiques 5.6 -8.4 -5.2 -2.8
Source : STATEC, Comptes nationaux
L’envolée dans le domaine des transports et
communications s’explique par l’arrivée vers la moitié
des années 1990 d’opérateurs importants dans le
domaine de la téléphonie mobile et par l’utilisation
grandissante des nouvelles technologies de
l’information et de la communication dans les
entreprises ainsi que dans les ménages. De même, les
branches du transport routier et d’organisation du
transport de fret voient l’établissement de quelques
entreprises importantes pendant cette période.
Dans la branche des services immobiliers, de location
et aux entreprises la forte hausse de la valeur ajoutée
provient principalement de la branche de location sans
opérateur et des activités informatiques.
La branche de location sans opérateur comprend la
location de véhicules automobiles et d’autres matériels
de transport, la location de machines équipement ainsi
que la location de biens personnels et domestiques.
Elle couvre aussi la forme de location-bail, mais non le
crédit-bail qui est généralement une forme particulière
de crédit. La forte croissance de cette branche d’activité
est liée à l’augmentation de la demande pour ce type
de services dans toutes les branches économiques.
Dans le domaine informatique, apparaissent déjà dès le
milieu des années 1980 des entreprises spécialisées
dans le conseil, le développement de logiciels ainsi que
des intégrateurs informatiques. Cette branche d’activité
croît à un rythme annuel particulièrement élevé entre
1995 et 2000. Ce type de services est essentiellement
utilisé par le secteur bancaire mais aussi par les
entreprises prestataires de services aux entreprises et
de R&D.
Les services d’hôtellerie et de restauration et les
services collectifs, sociaux et personnels apparaissent
comme étant les branches du secteur tertiaire les moins
dynamiques en termes de croissance économique.
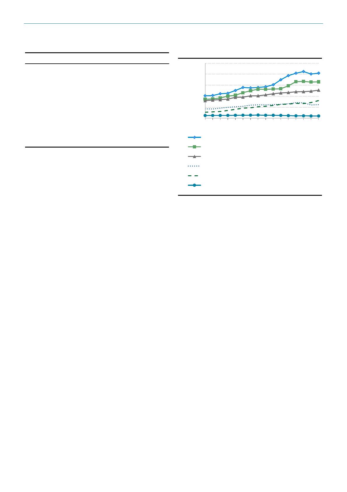
L’emploi dans les services est multiplié par 10
en 50 ans
En 1958, 43 900 personnes travaillent dans l'industrie,
16 500 dans la construction et environ 25 900 dans les
services.
Tandis que l'emploi dans l'industrie et le bâtiment
évoluent vers des niveaux respectifs de 36 400 et de
38 600 entités, le véritable essor du marché du travail a
lieu dans le secteur des services : l'emploi y est
multiplié par 10 sur une période de 50 ans.
Graphique 4 : Evolution de l’emploi total dont l’emploi frontalier
par secteur économique (en milliers de personnes occupées)
0
50
100
150
200
250
300
1958 1985 1990 1995 2000 2005 2010
Services
dont frontaliers
Industrie y compris énergie
Bâtiment
Source : STATEC, Comptes nationaux