
FSECG/UMMTO
TRONC COMMUN LMD /Section A et D
Module : Mathématique II
Dirigé par : Meur MESSAD – AHMED et Meur BELHITECHE – EL HADI
Série de TD 01: Calcul intégral
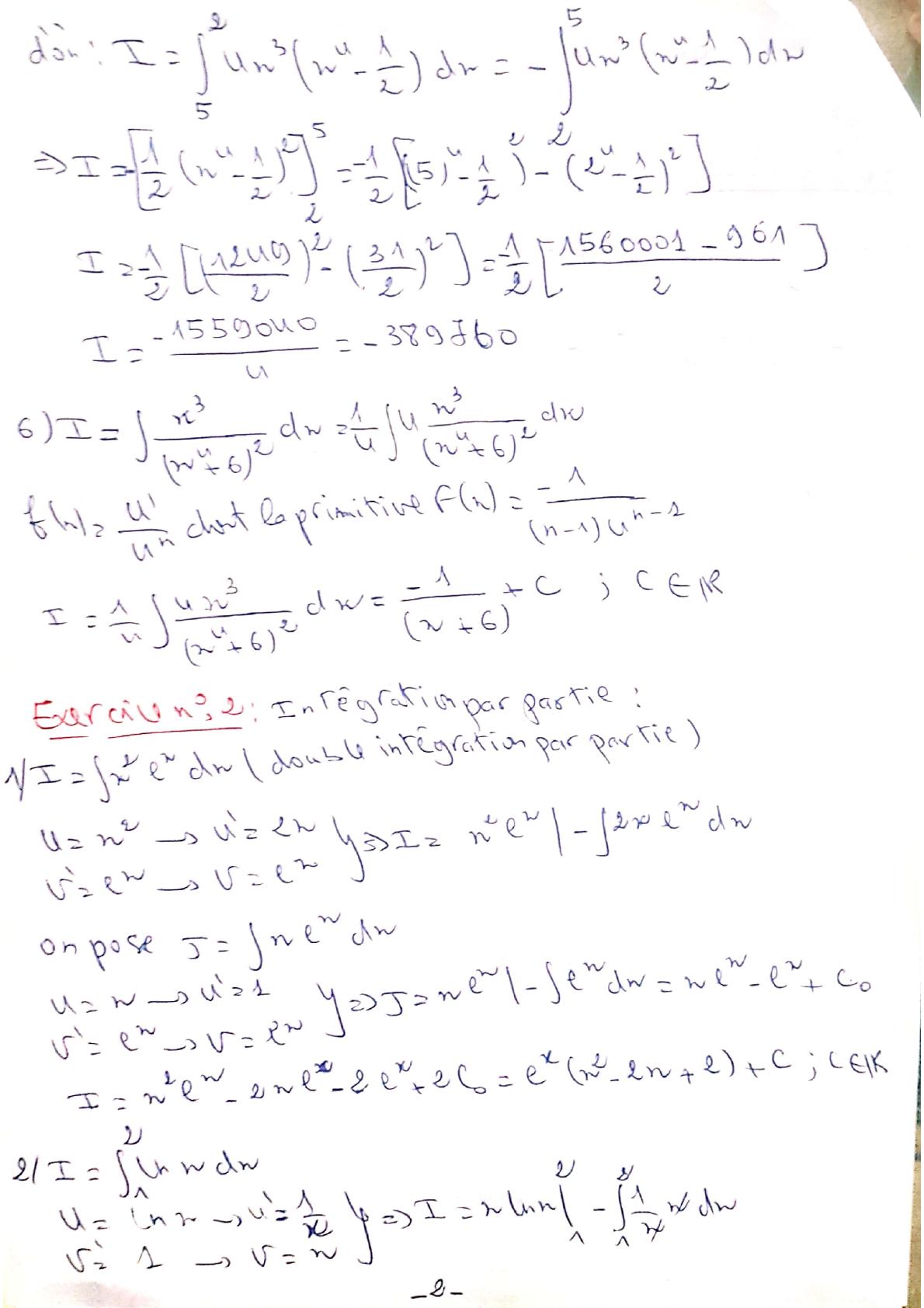
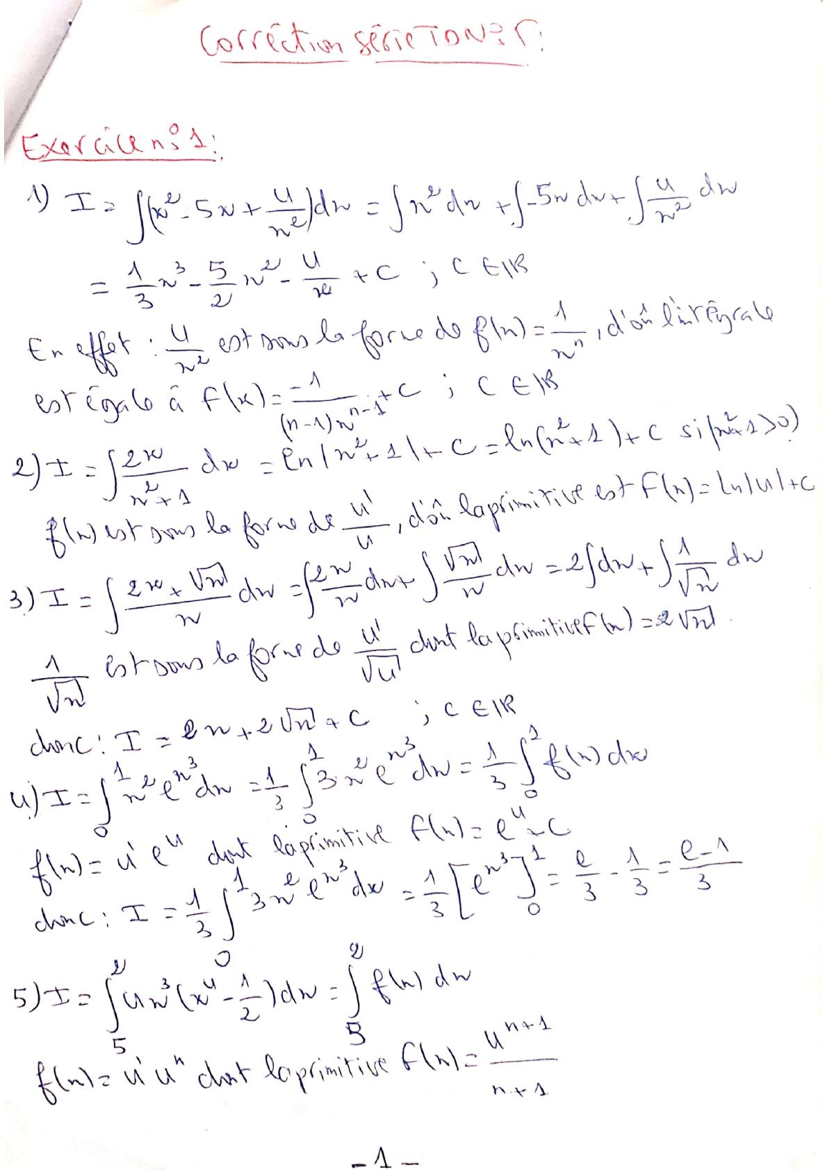
Exercice 1. Calculer les primitives et intégrales suivantes :
,
,
,
,
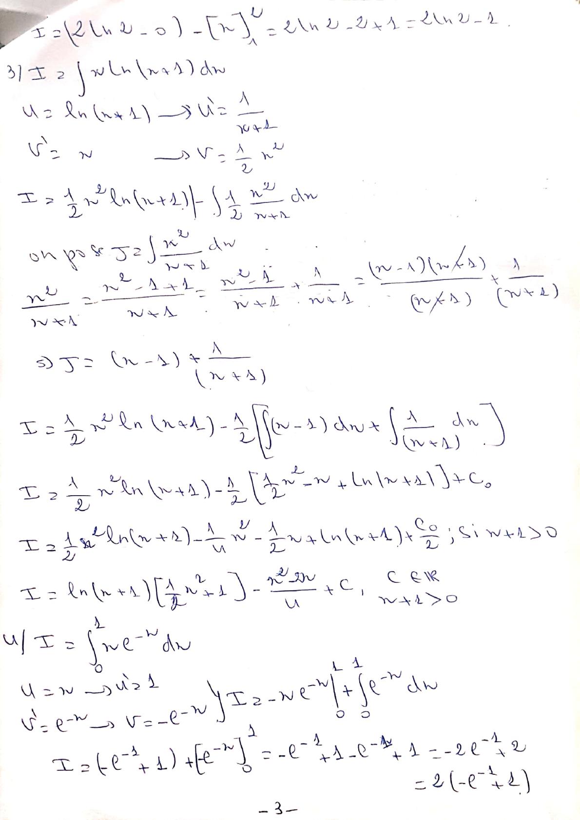
Exercice 2. En intégrant par partie calculer :
,
, ,
,
Exercice 3. A l’aide d’un changement de variable calculer :
,
,
Exercice 4. Soit f la fonction définie par :
1. Déterminer le domaine de définition Df
2. Prouver l’existence de trois nombres réels a, b, c tq :
3. En déduire les primitives de f.