Compte rendu manip5 ecoulement dans un canal

Telechargé par MAMADOU BAILO DIALLO
Compte Rendu TP4
Titre : Etalonnage d’un déversoir
Membres :
MAMADOU BIALO DIALLO
YURMAN LAHBIB
NAHEL EL JABBARI
I. Introduction :
Le but de ce TP est de décrire l'écoulement d'un canal à surface libre. Nous sommes équipés
d'un canal de forme rectangulaire, ayant une largeur de b=75mm, une hauteur totale de
y0=16,70cm et une inclinaison variable (de -1 à +4%) contrôlée par une petite manivelle. Ce
dispositif est alimenté par une pompe à débit variable. Lors de la séance pratique, le professeur
nous a demandé deux débits distincts : initialement un débit signalé sur l'appareil comme étant
compris entre 4 et 6 m3/h, puis un autre situé entre 6 et 8 m3/h. Étant donné que la machine
n'offre pas une précision absolue, nous avons été contraints de déterminer le débit par nos
propres moyens en utilisant un seau de 10L et un chronomètre. La profondeur dans le canal (h)
est fonction de l'inclinaison du canal.
Figure 1 : Coupe transversale du tuyau
y0 = 0,167m ;
Photos du canal, de la limnimètre et de la manivelle :
II. Résultats
On veut déterminer les variations de la charge spécifique dans une section (H) en
fonction du tirant d’eau (h), pour deux débits différents en faisant varier la pente du
canal (de -1 à +4%). Pour cela on a d’abord dû mesurer le débit manuellement en
chronométrant le temps de remplissage d’un sceau de 10L.
On place un sceau de 10L au niveau de l’écoulement du canal qui a une inclinaison
de 0%, on répète l’expérience 5 fois pour avoir le temps moyen. Puis on converti le
sultat obtenu en système internationale (m3/s)
Figure 5 : Débit
Figure 2 : Canal
Figure 3 : Manivelle
Figure 4 : Limnimètre
On trouve 0.00171 m3/s pour le premier débit
Une fois le débit trouvé, on a relevé 11 valeurs de y pour ce débit en variant l’inclinaison
entre -1% et 4% (une mesure tout les 0.5%)
La hauteur y correspond à la partie en bleu sur le schéma :
Nous avons organisé le relevé de valeurs dans un tableau ce qui nous a permis de
calculé les valeurs suivante : h ; S ; P ; rh ; V ; F ; H ; Ce et Cb
Figure 6 : Tableau de valeurs
h = y0 – y
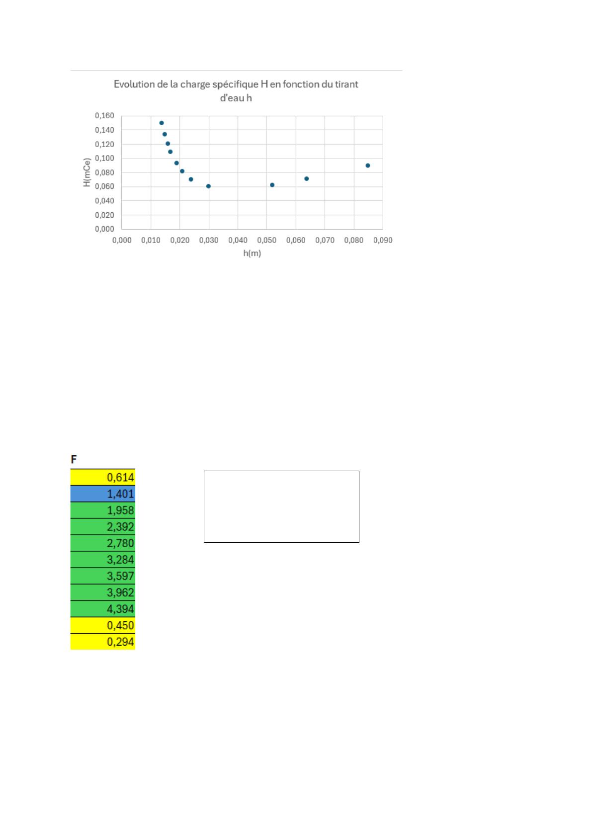
Figure 7 : Graphique de H en fonction de h
Plus le tirant d’eau h est petit, plus la charge spécifique est grande. Ce qui signifie que
quand le tirant d’eau est grand, l’eau coule lentement et à l’inverse quand le tirant d’eau
est petit, l’eau sécoule plus vite.
On a calculé le nombre de Froude, en mettant en évidence le régime fluvial avec une forte
hauteur d’eau et une faible vitesse (F<1) torrentiel avec une faible hauteur d’eau et une forte
vitesse (F>1) et critique (F=1)
Figure 8 : Nombre de Froude
Jaune F < 1 ( régime fluviale)
Bleu F = 1 ( régime critique )
Vert F > 1 ( régime torrentielle)
1 / 11 100%
La catégorie de ce document est-elle correcte?
Merci pour votre participation!

Faire une suggestion

Avez-vous trouvé des erreurs dans l'interface ou les textes ? Ou savez-vous comment améliorer l'interface utilisateur de StudyLib ? N'hésitez pas à envoyer vos suggestions. C'est très important pour nous!