
Module « Mécanique des Fluides »
Partie : Dynamique des Fluides Visqueux
Série 2- Solutions exactes de Navier-Stokes – Écoulements viscométriques
Exercice 1 : Écoulement de Couette-Poiseuille
On considère un fluide newtonien incompressible de viscosité
et de densité
qui s’écoule
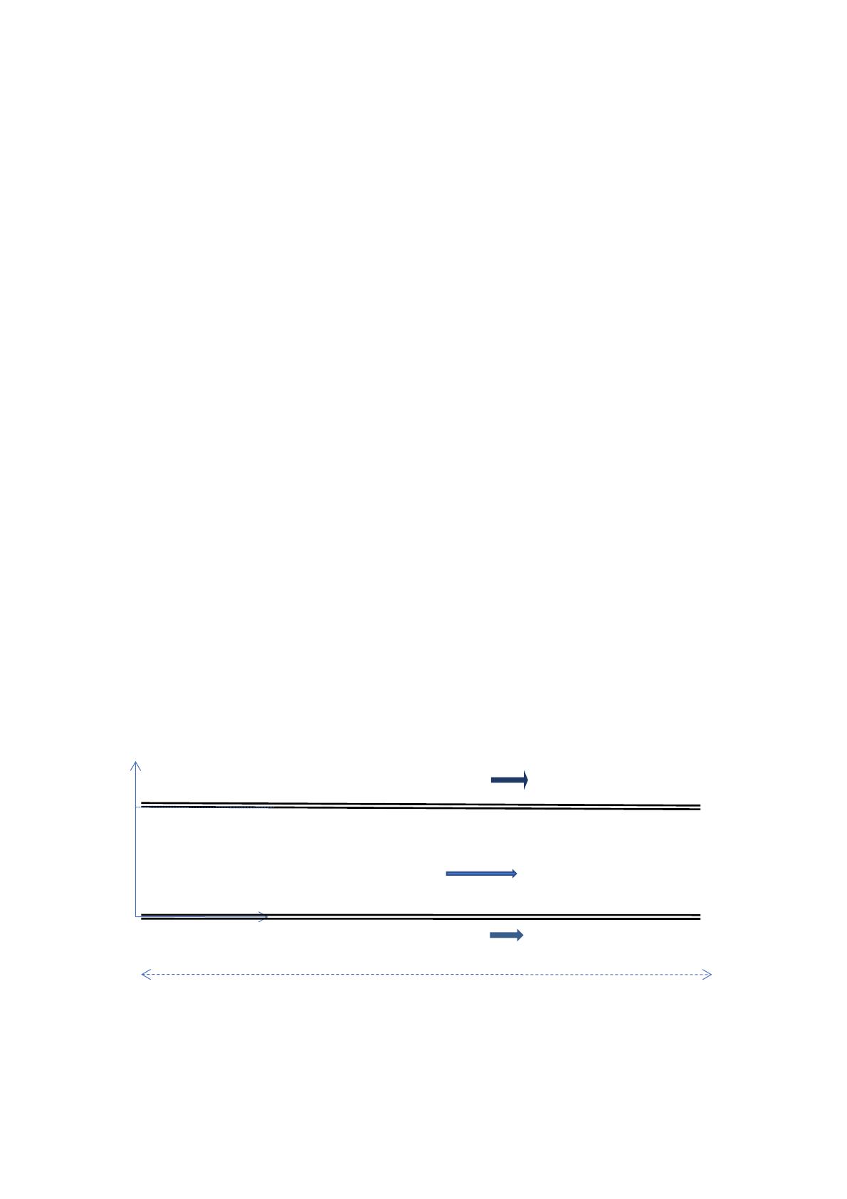
entre deux plans parallèles d’extension infinie dans les directions
%
et
%
. Le plan d’équation
est fixe tandis que le plan d’équation
est animé d’une vitesse
%
%
(
) (Figure 1). L’écoulement laminaire est stationnaire et parallèle à
%
(vitesse
%
%
) et se fait en l’absence de forces de volume.
Figure 1
1-!Écrire l’équation de continuité et en déduire que
(
)
.
2-!Écrire les conditions aux limites pour la vitesse en
et
.
3-!Donner l’écriture des équations de Navier-Stokes en projection sur les axes
%
,
%
et
%
.
4-!En déduire que le gradient de pression
est constant.
5-!Déterminer le champ des vitesses
%
%
en tenant compte des conditions aux
limites.
6-!Donner la répartition de la vitesse, l’expression de la vitesse maximale, du débit et de
la vitesse moyenne de l’écoulement dans les cas particuliers suivants :
a.!Cas où
et
b.!Cas où
et
Exercice 2 : Écoulement de Poiseuille en conduite cylindrique
On considère un fluide newtonien incompressible de viscosité dynamique
et de densité
qui
s’écoule dans une conduite cylindrique de diamètre
et d’extension infinie dans la direction
Solutions0exactes
Ecoulements0unidirectionnels0entre0deux0plans0parallèles
Un$fluide$newtonien$incompressible$(viscosité$
µ
,$densité$
ρ
)$s’écoule$entre$deux$
plans$parallèles$$d’extension$infinie$dans$les$directions$$xet$z
!Le$plan$d’équation y=0$est$fixe tandis$que$le$plan$d’équation y=h$est$animé d’une$
vitesse$)+= )+2](V
0
>0).
!L’éco u lemen t$$ Laminaire est$stationnaire$et$parallèle à$$$^] (vitesse$) = _2])$
et$se$fait$en$l’absence$de$forces$de$volume.
Solutions0exactes
Ecoulements0unidirectionnels0entre0deux0plans0parallèles
Un$fluide$newtonien$incompressible$(viscosité$
µ
,$densité$
ρ
)$s’écoule$entre$deux$
plans$parallèles$$d’extension$infinie$dans$les$directions$$xet$z
x
y
y
x
y$=$h
y$=$0
)
+
= )
+
2
]
) = (2
]
Le$plan$d’équation y=0$est$fixe tandis$que$le$plan$d’équation y=h$est$animé d’une$vitesse$
)
+
= )
+
2
]
(V
0
>0).
L’éco u lemen t$$ Laminaire est$stationnaire$et$parallèle à$$$^] (vitesse$) = (2
]
)$
et$se$fait$en$l’absence$de$forces$de$volume.
O