Cours Électromagnétisme Université Hassan II

Telechargé par Lhabib Boulaadan
30/09/2025
1
Réalisé par
Pr. Taoufik TBATOU
Cours
Electromagnétisme
Module : P131
S3- MIP
Université Hassan II de Casablanca
Faculté des Sciences et Techniques de Mohammedia
Département de Physique
Année Universitaire 2025/2026
Partie 1
2
Rappel
Généralités
Opérateurs mathématiques pour l’électromagnétisme
Applications
Partie 1
30/09/2025
2
Charge électrique
Il existe trois classes de particules:
Les neutrons : ils sont neutres, qn = 0 C (coulomb) , mn = 1,674 10-27kg
Les électrons : chargés négativement, qe = -1,602 10-19C, me=9,109 10-31kg
Les protons : chargés positivement, qp = +1,602 10-19C, mp=1,672 10-27kg
Deux corps portant une électricité de même nature (soit positive, soit négative)
se repoussent, tandis qu’ils s’attirent s’ils portent des électricités contraires.
330/09/2025
Un matériau est ainsi constitué d’un grand nombre de charges électriques, mais
celles-ci sont toutes compensées (même nombre d’électrons et de protons).
Un matériau est dit conducteur parfait si, lorsqu’il devient électrisé, les porteurs
de charge non compensés peuvent se déplacer librement dans tout le volume
occupé par le matériau.
Ce sera un isolant (ou diélectrique) parfait si les porteurs de charge non
compensés ne peuvent se déplacer librement et restent localisés à l’endroit ils
ont été déposés.
Types de matériaux de point de vue electrostatique
4
30/09/2025
3
Opérateurs différentiels
Le gradient : champ de vecteur attaché à un champ scalaire f
Avec Nabla :
La divergence : champ scalaire attaché à un champ de vecteur














Un espace rapporté à des coordonnées cartésiennes
5
Le rotationnel : champ de vecteur attaché à un champ de vecteur
Le laplacien scalaire ; le laplacien vectoriel




 





6
Opérateurs différentiels
30/09/2025
4
  



 









7
Propriétés
Applications
8
30/09/2025
5
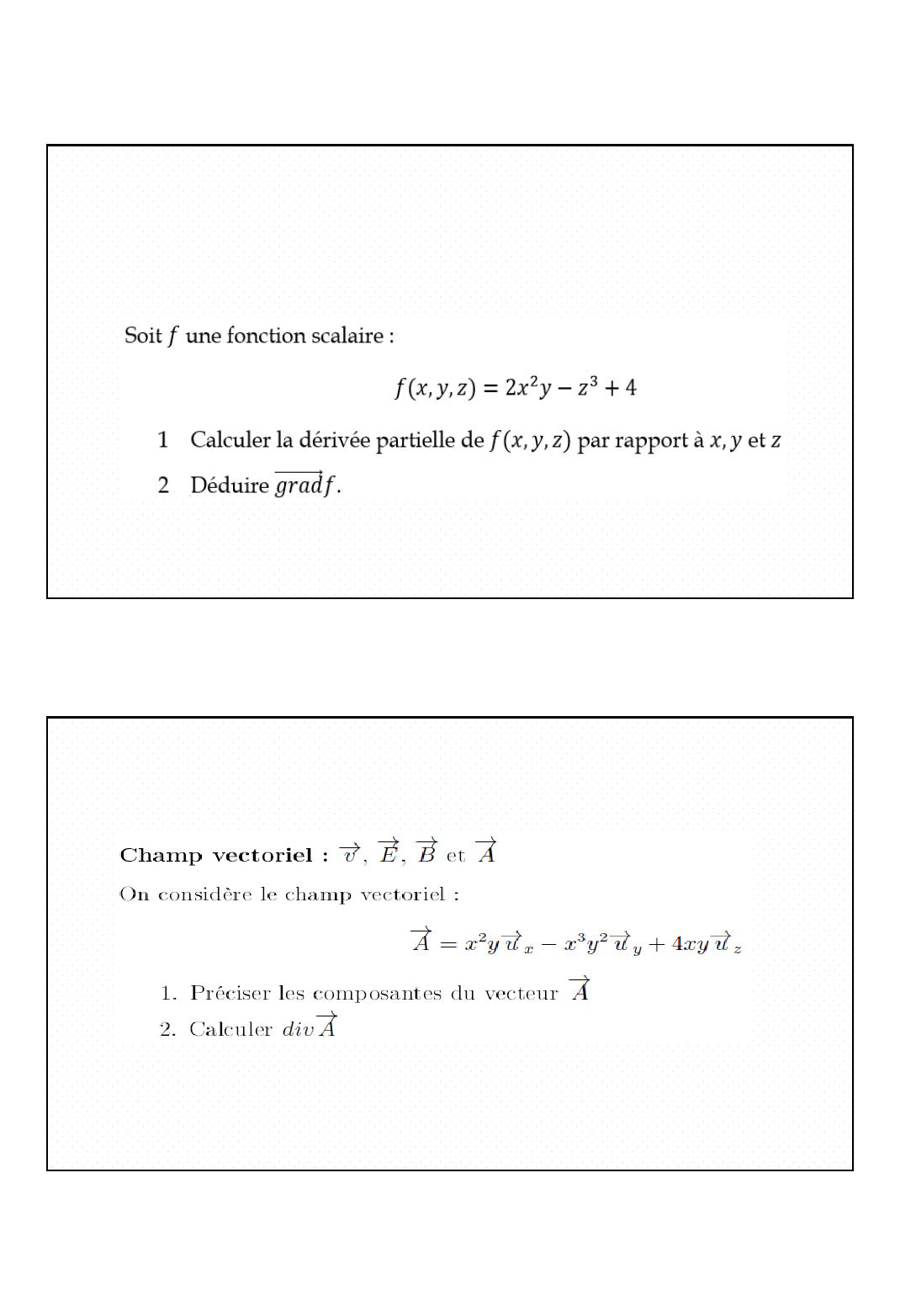
Application 1
9
Champ Scalaire ( V, Ep…..)
10
Champ vectoriel
Application 2
1 / 24 100%
La catégorie de ce document est-elle correcte?
Merci pour votre participation!

Faire une suggestion

Avez-vous trouvé des erreurs dans l'interface ou les textes ? Ou savez-vous comment améliorer l'interface utilisateur de StudyLib ? N'hésitez pas à envoyer vos suggestions. C'est très important pour nous!