Rev. sci. tech. Off. int. Epiz.
, 2006, 25 (3), 989-997
Diagnostic procedures after completion
of oral immunisation against classical
swine fever in wild boar
V. Kaden (1), M. Kramer (2), B. Kern (3), A. Hlinak (4), L. Mewes (5), A. Hänel (6),
Ch. Renner (7), J. Dedek (8) & W. Bruer (9)
(1) Friedrich-Loeffler-Institut, Bundesforschungsinstitut für Tiergesundheit, Institut für Infektionsmedizin,
Boddenblick 5a, 17493 Greifswald-Insel Riems, Germany
(2) Friedrich-Loeffler-Institut, Bundesforschungsinstitut für Tiergesundheit, Institut für Epidemiologie,
Seestr. 55, 16868 Wusterhausen, Germany
(3) Landesamt für Verbraucherschutz, Landwirtschaft und Flurneuordnung Brandenburg, Ringstraße 1030,
15236 Frankfurt (Oder), Germany
(4) Landeslabor Brandenburg, Ringstraße 1030, 15236 Frankfurt (Oder), Germany
(5) Landesamt für Verbraucherschutz Sachsen-Anhalt, Haferbreiter Weg 132-135, 39576 Stendal, Germany
(6) Chemisches und Veterinäruntersuchungsamt Stuttgart, Schaflandstr. 3/3, 70736 Fellbach, Germany
(7) Ministerium für Ernährung und Ländlichen Raum Baden-Württemberg, Kernplatz 10, 70182 Stuttgart,
Germany
(8) Landesamt für Landwirtschaft, Lebensmittelsicherheit und Fische Mecklenburg-Vorpommern,
Thierfelderstr. 18/19, 18059 Rostock, Germany
(9) Veterinär- und Lebensmittelüberwachungsamt Nordvorpommern, Bahnhofstr. 12/13, 18507 Grimmen,
Germany
Submitted for publication: 8 July 2005
Accepted for publication: 17 March 2006
Summary
The purpose of this paper is to define diagnostic procedures for wild boar after
the completion of oral immunisation against classical swine fever (CSF).
Epidemiological analysis of CSF in wild boar in Germany demonstrated that it is
vital to carry out virological investigations on all animals found dead, sick or
involved in traffic accidents. In principle, this should ensure an effective and
prompt diagnosis of CSF. In addition, a defined number of wild boar, especially
young animals 6 months old, should also be tested for CSF virus to guarantee
a high confidence level in the virological monitoring. Which animals should be
examined serologically depends on the age class investigated, the season in
which vaccination was stopped and the period of time since completion of
vaccination. Therefore, different serological procedures have been defined for
different situations during the first three years after completion of oral
immunisation.
Keywords
Classical swine fever – Diagnosis – Oral immunisation – Wild boar.
Introduction
Classical swine fever (CSF) is one of the most economically
important infectious diseases affecting domestic pigs (Sus
domesticus) and wild boar (S. scrofa). Measures to eradicate
the disease must be immediately enforced after the
detection of the first cases in either species. The control
and eradication measures for CSF in the European Union
(EU) are based on Council Directive 2001/89/EC (4). If a
case of CSF in wild boar is officially suspected or
confirmed, special measures must be established to limit or
prevent the spread of the disease within the wild boar
population and to prevent transmission to the domestic pig
population. In Member States with CSF in wild boar, a
plan for eradication of the disease must be submitted to the
European Commission within 90 days of confirmation of
the first case. The eradication plan should include all
measures to be applied to wild boar and domestic pig
holdings in the defined infected area. Furthermore,
targeted surveillance of infection in the wild boar
population of the surrounding area is mandatory.
Although routine prophylactic vaccination against CSF has
been prohibited in the EU since the end of the 1980s,
emergency vaccination is permitted if it is considered that
extensive spread of CSF virus (CSFV) would follow
without such intervention and the European Commission
has confirmed the vaccination plan.
In Germany, CSF has been present in wild boar for several
decades (7, 8, 19). Wild boar populations in the federal
states Mecklenburg-Western Pomerania, Lower Saxony,
Brandenburg, Baden-Württemberg, Saxony-Anhalt,
Rhineland-Palatinate, North-Rhine Westphalia and
Saarland have been affected by the disease. The CSF cases
diagnosed in Germany between 1995 and 2005 are
summarised in Figure 1. In some areas, the disease had the
tendency to persist endemically. As wild boar were found
to be an important source for outbreaks in domestic pigs
(7, 20, 21) and the eradication of the disease was often
problematical, oral immunisation of wild boar was
introduced in Germany in 1993 (9, 11, 12). Since then,
vaccination measures have been carried out in all the
federal states mentioned above. As shown by different field
studies in Germany, factors such as the density of the wild
boar population, the size of the infected area, the
characteristics of the biotope (including food conditions),
and the vaccination procedure used and its
implementation in practice may have crucially influenced
the duration of the eradication process.
The current vaccination procedure, which has been used in
Baden-Württemberg, Saarland, North-Rhine Westphalia,
Rhineland-Palatinate, in Luxembourg and now also in the
Slovak Republic, is based on the C-strain bait vaccine and
comprises three vaccination campaigns: in spring, summer
and autumn. Each vaccination campaign consists of two
vaccinations at an interval of approximately four weeks.
The following parameters of the immunisation procedure
should be considered:
a) distribution of approximately 0.5 to 1 feeding spot (bait
site)/km2hunting area, taking into account the density of
the population and the biotope. Each feeding spot should
be at least 200 m2in area;
b) covered placement of 20 to 40 baits per site depending
on the size of the sounder (family or herd) and the biotope.
Although different kinds of bait application are possible,
placement of baits a spade width apart is preferred;
c) a ban on hunting at the bait site for at least five days
after each administration, to guarantee optimal bait
uptake;
d) remaining vaccine baits or blisters should be checked
and removed five days after the second bait placement.
Vaccination must be continued for at least one year after
detection of the last CSFV-positive animal (16).
Recommendations are given below for diagnostic
investigations to be carried out in wild boar populations
after a decline in the incidence of disease occurs. These are
based on the particular methods used for laboratory
diagnosis, epidemiological aspects of the diagnosis of CSF,
and evaluation of the serological results obtained after
completion of oral vaccination in Germany.
Laboratory diagnosis
and epidemiological aspects
of classical swine fever in areas
where vaccination is carried out
The virological and serological diagnosis of CSF is based
on the methods described in the Diagnostic Manual
contained in Commission Decision 2002/106/EC (5).
Virus isolation in susceptible cell cultures (the ‘gold
standard’), detection of virus antigen by the fluorescent
antibody test (FAT) on cryosections of organ samples, or
antigen enzyme-linked immunosorbent assay (ELISA) and
reverse transcription-polymerase chain reaction (RT-PCR)
for detection of virus genome are the virological methods
used for CSF confirmation. The virus neutralisation test
(VNT) and antibody ELISA are common serological tests
for CSF antibody detection. In Germany, all the methods
recommended in the Diagnostic Manual are also applied to
the diagnosis of CSF in wild boar as shown in Table I. In
2000, about 11% of all wild boar samples investigated
were diagnosed by means of virus isolation, 32% by FAT,
Rev. sci. tech. Off. int. Epiz.,
25 (3)
990
0
50
100
150
200
250
300
350
400
450
500
1995 1996 1997 1998 1999 2000 2001 2002 2003 2004 2005
Year
Cases
Fig. 1
Number of classical swine fever cases among wild
boar in Germany during the last decade
Source
: Animal disease notification and management system
of Germany (TSN)
4% by RT-PCR and 53% by antigen ELISA. In countries
with infected wild boar where oral immunisation has been
carried out, on average 25% of all animals investigated are
tested by virus isolation. Generally, the antigen ELISA is
used for intensive monitoring in large endemically infected
areas. Although the antigen ELISA is considered not to be
as sensitive for CSF diagnosis as virus isolation or RT-PCR
(1, 6, 22, 23), especially during the incubation period (11),
experience in Germany has demonstrated that this method
is suitable for routine diagnosis in large infected areas, if
certain factors are taken into account (10). However, it
should not be used during the final period of eradication;
the authors recommend employing virus isolation or PCR
within that period.
Analysing CSFV-positive wild boar in Mecklenburg-
Western Pomerania, Brandenburg, Lower Saxony, Baden-
Württemberg and Saxony-Anhalt (13, 17, 18), the authors
found that between 80% and 88% of all animals diagnosed
positive were wild boar of 1 year old. A detailed analysis
of this age class in Brandenburg (Table II) revealed that
approximately 60% of the CSFV-positive young animals
were younger than 7 months or had a carcass weight of
17 kg; in this sample, 82% of the positive animals were
1 year old. Consequently, wild boar 6 months of age
should be hunted with the aim of reducing the
transmission risk within the wild boar population as well
as to gain an epidemiological overview. It is important also
to investigate all animals which show apparent clinical
illness, since these animals can be expected to have a high
prevalence of CSF (Table III). If hunters are motivated
towards participating in the control of CSF, it is possible to
sample a large number of wild boar outside and during the
main hunting season. As shown in Brandenburg (Table IV)
most CSFV-positive animals were shot in the summer and
only one third during the main hunting season (October to
January). Intensive hunting of juvenile wild boar in
summer plays an important part in eliminating a large
proportion of susceptible and CSFV-infected animals.
Hunting during the summer also provides an indication of
the incidence of recent infections, as the highly susceptible
age class is shot and investigated.
The antibody ELISA is the preferred serological method for
routine diagnosis in wild boar, whereas the VNT is mostly
used for sera which have given inconclusive results in the
Rev. sci. tech. Off. int. Epiz.,
25 (3) 991
Table I
Virological investigation of classical swine fever in wild boar
in 2000
Methods used for detection of CSF virus or antigen/RNA
Federal states (percentage of animals tested using each method)
Virus isolation FAT AgELISA RT-PCR
Baden-Württemberg 10 90
Bavaria 100
Berlin (2) 100
Brandenburg 1.8 0.2 98 (0.3)
Hesse 100 (62) (29)
Mecklenburg-Western Pomerania 2 (2) 98 (1)
Lower Saxony 1 96.9 2 0.1
North-Rhine Westphalia 100 (0.1) (11) (9)
Rhineland-Palatinate 3 97
Saarland 100
Saxony 91 2 4 3
Saxony-Anhalt 30 34 19 17
Schleswig-Holstein 66 33 1
Thuringia 100 (48) (100)
Number of animals investigated 3,951 11,842 19,174 1,317
Proportion of tests carried out 11% 32% 53% 4%
( ) proportion (%) of additional diagnostic investigations
CSF: classical swine fever
AgELISA: antigen detection enzyme-linked immunosorbent assay
FAT: fluorescent antibody test
RNA: ribonucleic acid
RT-PCR: reverse transcriptase-polymerase chain reaction
Table II
Distribution of 274 classical swine fever virus (CSFV)-positive
wild boar in Brandenburg in relation to age and body weight
(1995-2000)
Age class Age Body Percentage of CSFV-
(months) weight (kg) positive animals
Young wild boar 3 0 - 10 40.5
4 - 6 11 - 17 19.3
7 - 9 18 - 24 14.2
10 - 12 25 - 28 8.0
Sub-adults 13 - 18 29 - 45 13.5
19 - 24 46 - 56 3.3
Adults > 24 - 36 57 - 66 0.7
> 36 - 60 67 - 74 0.4
> 60 > 74 0
Table III
Relation between classical swine fever (CSF) positive cases
and the clinical picture (analysis in Brandenburg)
Year Total number Number of cases Number of cases
of CSF cases with clinical signs without clinical signs
1995 99 63 (64%) 36 (36%)
1996 81 50 (62%) 31 (38%)
1997 31 22 (71%) 9 (29%)
1998 15 6 (40%) 9 (60%)
1999 62 21 (34%) 41 (66%)
2000 5 1 (20%) 4 (80%)
Total 293 163 (56%) 130 (44%)
ELISA or to differentiate antibody against CSFV from that
induced by ruminant pestiviruses. In 2003, a total of
172 sera derived from wild boar were checked by VNT in
Germany; in contrast, 87,578 samples were investigated by
antibody ELISA (10).
Evaluating seroprevalence
after the completion
of oral immunisation
Generally, in all areas in Germany where oral immunisation
against CSF was carried out, vaccination was continued for
at least one year after the last case had been detected.
During this period, all wild boar shot, found dead or
involved in traffic accidents were tested for CSFV and
antibodies. All diagnostic activities were based on Council
Directive 2001/89/EC (4) and the Diagnostic Manual, but
they differed slightly in the individual federal states of
Germany. Whereas CSF diagnosis is uncomplicated in
virus positive animals, it is more problematical to
categorise seropositive wild boar after completion of an
immunisation programme, as currently no licensed marker
vaccine is available for oral vaccination of wild boar.
Therefore, seropositive animals may be carrying antibodies
resulting from vaccination, infection or maternal
immunity. As observed during the recent CSF epidemic in
Germany, CSFV infection in wild boar was first identified
through the detection of seropositive animals (14).
Therefore, serological investigations are essential after the
completion of oral immunisation, even though many of the
seropositive wild boar detected may be carrying vaccine-
derived antibodies. To establish an effective serological
surveillance system after completion of vaccination it is
important to take into account the duration of vaccination-
induced immunity.
The serological investigations carried out after completion
of oral immunisation in Baden-Württemberg, Brandenburg
and in the district of Nordvorpommern in Mecklenburg-
Western Pomerania showed a relatively uniform picture.
In Baden-Württemberg, where the last oral immunisation
was performed in October 2001, 1,362 wild boar were
tested for antibodies in 2002 and 329 in 2003 (16). In
2002, 25.2% of all animals investigated were seropositive:
19.5% of wild boar 1 year of age (young wild boar),
47.2% of wild boar in their second year (sub-adults) and
57.1% of wild boar > 2 years of age (adults). Of the animals
of unknown age, 25.8% had antibodies. In contrast, in
2003 only 8.5% of the wild boar tested were found to be
seropositive. In the second year after completion of
vaccination, 4% of all young wild boar and 16.9% of the
sub-adults investigated had antibodies against CSFV. When
evaluating the seroprevalence in juvenile animals, it was
found that 2.5 to 14.5 months after the completion of
vaccination 7.3% of the animals younger than 3 months
old were seropositive, whereas 24.8% of those 3 to
12 months of age had antibodies.
In Saxony-Anhalt, the seroprevalence during the first year
after the end of vaccination was lower than in Baden-
Württemberg. Antibodies were found in 3.6% of young
wild boar, 18.1% of sub-adults and 17.7% of adults during
this period.
In the district of Nordvorpommern, in the federal state of
Mecklenburg-Western Pomerania, 27.3% of the young
wild boar, 33.3% of the sub-adults and 36.4% of the adults
shot within 1.5 to 2.5 years after completion of the oral
immunisation programme were seropositive. Although
only small numbers of animals were investigated in the
third year after the completion of vaccination, 17.7% of
young animals, 29.4% of sub-adults and 47% of adults
were still determined to be antibody positive. All
seropositive animals tested negative for viral RNA by
means of RT-PCR in this district.
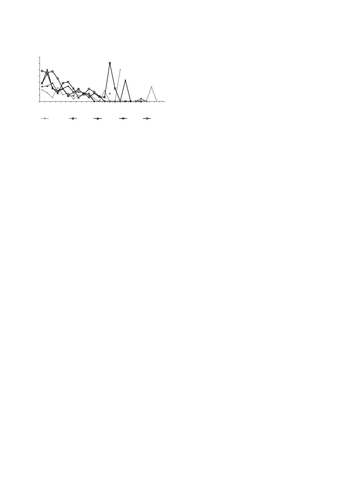
In Brandenburg, analysis of the seropositive wild boar after
the completion of oral vaccination against CSF also
showed a distinct decrease in the prevalence of seropositive
animals within the first year (Fig. 2). However, individual
seropositive wild boar of all age classes could be detected
until the end of the second year after the completion of
vaccination. Although older animals with vaccine-derived
antibodies, as well as young ones with maternal antibodies,
may be found in the second year after the completion of
Rev. sci. tech. Off. int. Epiz.,
25 (3)
992
Table IV
Proportion of classical swine fever virus (CSFV)-positive wild
boar (a) in relation to the hunting season (investigation period
1995 to 2000, Brandenburg)
Month CSFV-positive animals
% per period
Hunting
Number % season
October 20 6.8
34.1% Main hunting season
November 13 4.4
December 28 9.6
January 39 13.3
February 11 3.8
14.7%
March 13 4.4
April 9 3.1
May 10 3.4
June 29 9.9
51.2%
July 34 11.6
August 46 15.7
September 41 14.0
Total 293 100
a) in total, 18,857 wild boar were investigated
oral immunisation, the presence of antibody-positive
animals between 6 months and 2 years old is not expected.
Generally, under experimental conditions, maternal
antibodies do not persist for longer than 3 to 4 months
(15). However, it seems that under field conditions
maternal antibodies may persist for a longer period of time.
This may occur if wild boar sows receive multiple
vaccinations or if they have survived a natural infection
with CSFV. Moreover, the authors consider that the age
determination of animals 6 to 18 months old may often be
incorrect, as hunters mostly use the colour and markings
of the coat, or the body weight, which give only a crude
estimation of age. Examination of the dentition is more
suitable for determination of the exact age of boar 1 year
old (3). Inaccurate determination of the age of seropositive
young wild boar might be a further reason for the apparent
long duration of maternal antibody detection (16).
Recommendations for classical
swine fever surveillance after
completion of oral immunisation
Epidemiological tracing and continuous surveillance
measures are needed even after a decline in incidence of
clinical CSF in wild boar. This is because CSF may still be
present in an apparently healthy wild boar population. As
described above, all animals shot, found dead or involved
in traffic accidents in the year following the completion of
oral vaccination are investigated virologically and
serologically. All wild boar shot or found dead in a formerly
infected and vaccinated area are investigated for at least
two years after the last CSF case, as part of the
immunisation programme. The number of wild boar
which need to be investigated for epidemiological tracing
Rev. sci. tech. Off. int. Epiz.,
25 (3) 993
afterwards depends on the true population density (not
directly on the hunting bag), on the structure of the
population and on the CSFV prevalence. Consideration of
the confidence limits on the estimated prevalence is crucial
for an accurate interpretation of the results of diagnostic
testing. After the completion of oral immunisation against
CSF, or after eradication of clinical disease, all measures
should be directed towards detection of the disease at an
early stage of infection in the wildlife population.
Therefore:
a) virological and serological monitoring must be carried
out for the entire year
b) the number sampled should reflect the need for the
disease to be detected at a lower virus prevalence and
seroprevalence.
Virological investigations after
completion of oral immunisation against
classical swine fever
Based on the experience in Germany, where the majority
of CSFV-positive wild boar were younger than 6 months,
and where, on average, 55% of all virus-positive cases were
clinically sick or found dead, it is considered essential to
perform a virological investigation of all animals found
dead, sick or involved in traffic accidents. If these
categories are checked for CSFV with sensitive methods, a
high confidence in the virological diagnosis of CSF is
achieved. As it is hard to find all dead animals, an adequate
sample of highly susceptible young wild boar should also
be investigated. To detect infection with a prevalence of
1% and a confidence level of at least 95% a minimum
of 299 wild boar (especially animals 6 months old)
should be sampled in each sampling area (as defined in the
Diagnostic Manual) or district using RT-PCR, virus isolation
or FAT for diagnosis. If CSFV is detected during
surveillance, the isolate should be genotyped to clarify the
source of infection and to demonstrate its relationship to
other CSF cases or outbreaks.
Serological investigations after
completion of oral immunisation against
classical swine fever
In the Diagnostic Manual, Chapter IV (Section H.2), it is
stated for CSF suspected areas that ‘in [the] case of large
areas it is recommended to identify sampling areas of not
more than 200 km2, where populations of about 400 to
1,000 feral pigs may usually live’ (5). The minimum
number of animals to be sampled for serological diagnosis
within the sampling area must be sufficient to detect a
seroprevalence of 5% with 95% confidence. Furthermore,
according to Chapter IV (Section H.3) it is recommended
that ‘in areas where hunting pressure is higher and
0
10
20
30
40
50
60
70
Months
Seroconversion (%)
123456789101112131415161718192021222324
PR OPR OHV BAR UM
BAR: Barnim
OHV: Oberhavel
OPR: Ostprignitz-Ruppin
PR: Prignitz
UM: Uckermark
Fig. 2
Seroconversion in wild boar after completion of oral
immunisation in Brandenburg
1 / 10 100%
La catégorie de ce document est-elle correcte?
Merci pour votre participation!

Faire une suggestion

Avez-vous trouvé des erreurs dans l'interface ou les textes ? Ou savez-vous comment améliorer l'interface utilisateur de StudyLib ? N'hésitez pas à envoyer vos suggestions. C'est très important pour nous!