Exercices de dérivation - Terminale

Telechargé par Floredelph J
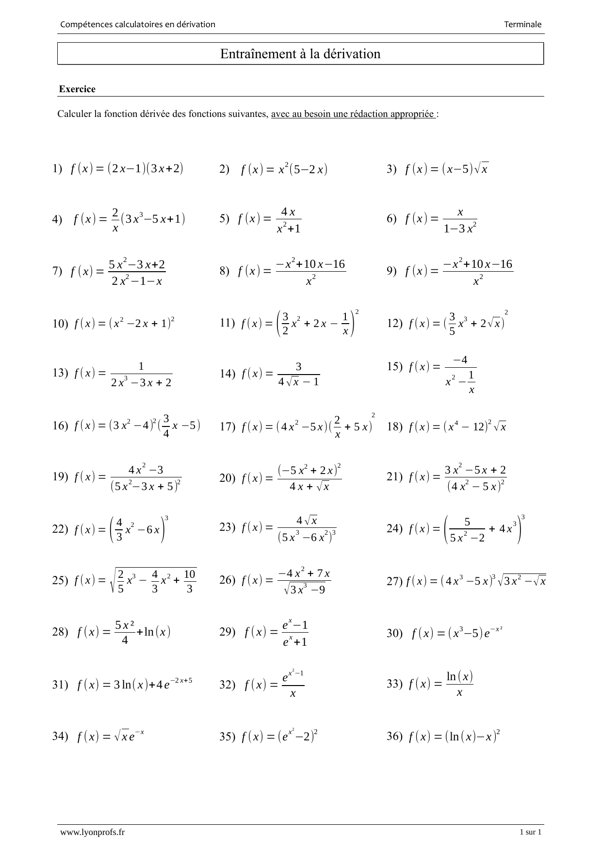
Compétences calculatoires en dérivation Terminale
Entraînement à la dérivation
Exercice
Calculer la fonction dérivée des fonctions suivantes, avec au besoin une rédaction appropriée :
1)
f(x) = (2x1)(3x+2)
2)
f(x) = x2(52x)
3)
f(x) = (x5)
x
4)
f(x) = 2
x(3x35x+1)
5)
f(x) = 4x
x2+1
6)
f(x) = x
13x2
7)
f(x) = 5x23x+2
2x21x
8)
9)
f(x) = x2+10 x16
x2
10)
f(x) = ( x22x+1)2
11)
f(x) =
(
3
2x2+2x1
x
)
2
12)
f(x) = ( 3
5x3+2
x)
2
13)
f(x) = 1
2x33x+2
14)
f(x) = 3
4
x1
15)
f(x) = 4
x21
x
16)
f(x) = (3x24)2(3
4x5)
17)
f(x) = (4x25x)( 2
x+5x)
2
18)
f(x) = ( x412)2
x
19)
f(x) = 4x23
(5x23x+5)2
20)
f(x) = (−5x2+2x)2
4x+
x
21)
f(x) = 3x25x+2
(4x25x)2
22)
f(x) =
(
4
3x26x
)
3
23)
f(x) = 4
x
(5x36x2)3
24)
f(x) =
(
5
5x22+4x3
)
3
25)
f(x) =
2
5x34
3x2+10
3
26)
f(x) = 4x2+7x
3x39
27)
f(x) = (4x35x)3
3x2
x
28)
f(x) = 5x²
4+ln (x)
29)
f(x) = ex1
ex+1
30)
f(x) = (x35)ex²
31)
f(x) = 3 ln(x)+4e2x+5
32)
f(x) = ex21
x
33)
f(x) = ln (x)
x
34)
f(x) =
x ex
35)
f(x) = (ex22)2
36)
f(x) = (ln (x)x)2
www.lyonprofs.fr 1 sur 1
1 / 1 100%
La catégorie de ce document est-elle correcte?
Merci pour votre participation!

Faire une suggestion

Avez-vous trouvé des erreurs dans l'interface ou les textes ? Ou savez-vous comment améliorer l'interface utilisateur de StudyLib ? N'hésitez pas à envoyer vos suggestions. C'est très important pour nous!