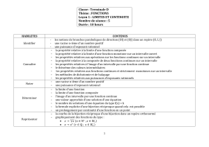
mouhamadou Issoufou