
trimestre. L’effondrement de la production de véhicules
automobiles, dont font état les données publiées par
l’Anfavea (-33,6% en glissement annuel au mois de
novembre, un plus bas historique), suggère, en effet,
des pressions récessives marquées dans l’industrie, où
l’activité semblait déjà avoir nettement ralenti à partir du
mois d’août (cf. graphique 6). La détérioration des
perspectives dans l’industrie est au demeurant
confirmée par les données d’enquête. L’indicateur
mesurant la confiance des chefs d’entreprise du secteur
publié par la Fondation Getulio Vargas (FGV), dont
les évolutions ont anticipé celles de la production
industrielle de manière satisfaisante dans le passé, a
notamment enregistré une dégradation particulièrement
brutale en novembre, retrouvant des plus bas qu’il
n’avait pas atteints depuis juillet 2003. Du côté de la
demande, les indicateurs ne sont guère plus
encourageants. Les ventes au détail se sont inscrites en
repli en octobre (-0,3% par rapport au mois précédent),
et la confiance des consommateurs s’est également
nettement dégradée.
Le canal du crédit : un durcissement des contraintes de
financement dont l’impact ne doit pas être sous-estimé
Le “sudden stop” auquel est confronté le Brésil se
traduit, en effet, par un durcissement des contraintes de
financement dont l’impact ne doit pas être sous-estimé.
Les entrées nettes de capitaux étrangers, dont le
montant dépassait les 10 points de PIB sur 12 mois
glissants à la mi-2007, avaient joué un rôle important
dans le cycle de croissance soutenu qu’à connu
l’économie brésilienne au cours des dernières années,
favorisant le développement des marchés de capitaux
locaux, accroissant les ressources à disposition du
secteur bancaire pour financer l’expansion du crédit au
secteur privé et participant notablement au renforcement
des capacités de production dans certains secteurs
(secteurs très liés aux matières premières notamment).
Plus récemment, l’afflux de capitaux étrangers avait
permis au taux d’investissement de dépasser le taux
d’épargne, faisant même plus que financer le déficit
courant qui était apparu à la fin de 2007 et ressortait à
1,4 point de PIB sur 12 mois glissants en août 2008.
L’impact du changement de dynamique du compte
financier a du reste entraîné des tensions sur la plupart des
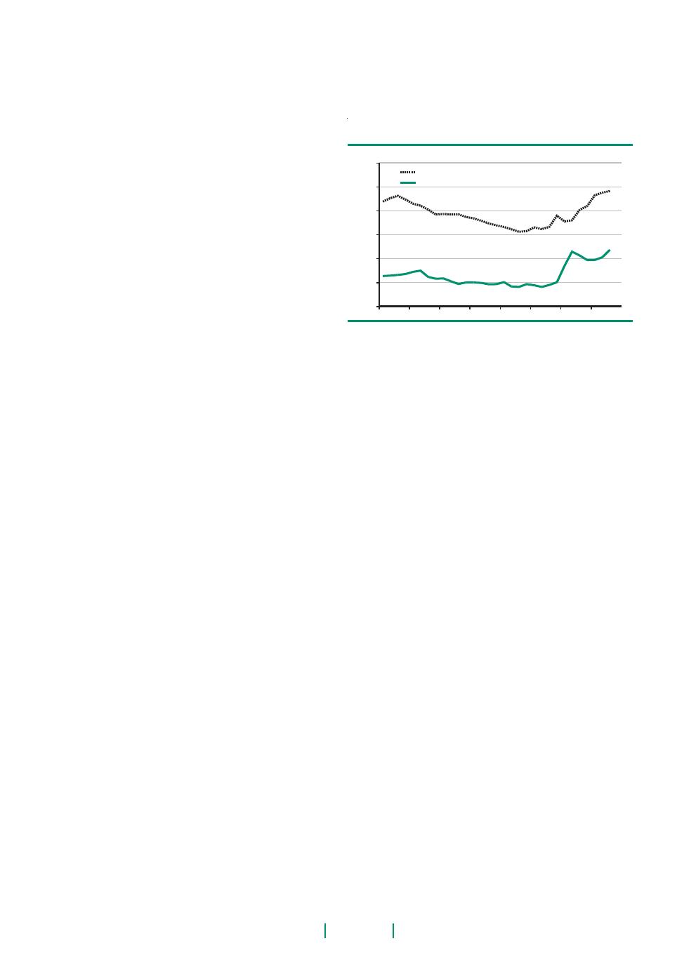
compartiments de liquidités au cours des derniers mois. En
ligne avec les évolutions observées au même moment dans
la plupart des pays, la liquidité locale en dollar (marché “on
shore”) s’est asséchée à la mi-septembre : les spreads
entre les taux du dollar local (Cupom Cambial(6)) et le Libor
se sont écartés jusqu’à frôler les 800 points de base sur les
échéances courtes le 19 septembre (cf. graphique). Des
tensions sont également apparues sur la liquidité en BRL,
les petites banques ne disposant pas d’une large base de
dépôts ayant, semble-t-il, rencontré davantage de difficultés
pour se refinancer, alors que les grandes banques
manifestaient une préférence accrue pour la liquidité dans
un environnement devenu plus incertain. Toujours est-il que
la progression du crédit au secteur privé, qui avait contribué
de manière décisive à la vive expansion de la demande
intérieure au cours des dernières années, semble avoir
marqué le pas en octobre. Selon les données publiées par
la BCB, la croissance des nouveaux crédits concédés au
secteur privé serait passée de 27,3% en glissement annuel
au mois de septembre à moins de 7% en octobre, ce qui
suggère une contraction au mois le mois.
Le canal du change : les effets récessifs devraient
l’emporter à court terme
Les banques pourraient s’avérer d’autant plus
réticentes à accroître leur offre de prêt en direction des
entreprises du secteur privé non financier ou même sur
Janvier 2009 Conjoncture 28
DNOSAJJMA
M
2008
800
600
400
200
0
-200
-400
Spread Cupom Cambial / Libor, points de base
Sources : Bloomberg, BNP ParibasGraphique 7
Des tensions sur la liquidité en dollar
1 mois
6 mois
jqp// g