Telechargé par EL MAHDI BOULEHFA

Programme d'évaluations du collège SAIN 2023

publicité
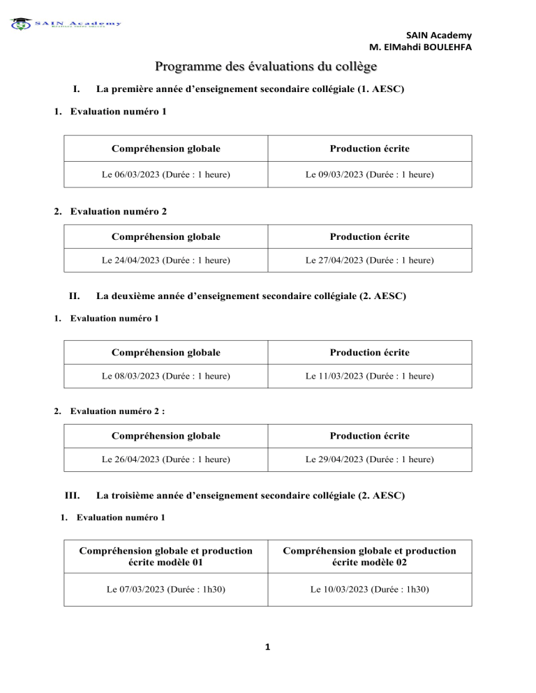
SAIN Academy
M. ElMahdi BOULEHFA
Programme des évaluations du collège
I.
La première année d’enseignement secondaire collégiale (1. AESC)
1. Evaluation numéro 1
Compréhension globale
Production écrite
Le 06/03/2023 (Durée : 1 heure)
Le 09/03/2023 (Durée : 1 heure)
2. Evaluation numéro 2
II.
Compréhension globale
Production écrite
Le 24/04/2023 (Durée : 1 heure)
Le 27/04/2023 (Durée : 1 heure)
La deuxième année d’enseignement secondaire collégiale (2. AESC)
1. Evaluation numéro 1
Compréhension globale
Production écrite
Le 08/03/2023 (Durée : 1 heure)
Le 11/03/2023 (Durée : 1 heure)
2. Evaluation numéro 2 :
III.
Compréhension globale
Production écrite
Le 26/04/2023 (Durée : 1 heure)
Le 29/04/2023 (Durée : 1 heure)
La troisième année d’enseignement secondaire collégiale (2. AESC)
1. Evaluation numéro 1
Compréhension globale et production
écrite modèle 01
Compréhension globale et production
écrite modèle 02
Le 07/03/2023 (Durée : 1h30)
Le 10/03/2023 (Durée : 1h30)
1
SAIN Academy
M. ElMahdi BOULEHFA
2. Evaluation numéro 2
Compréhension globale et production
écrite modèle 01
Compréhension globale et production
écrite modèle 02
Le 25/04/2023 (Durée : 1h30)
Le 28/04/2023 (Durée : 1h30)
Remarque
Ayant vu le programme des évaluations bien avant, les élèves les passeront sans qu’ils soient avertis.
2
Téléchargement