
_---
Exercice 3 [Ro ûÈ r-ri pc5q. 2oa2\
on considère le dispositif interférentiel formé d'une lentille mince ï-1"
pian-convexe' de grand rayon de courbure R1, placée sur une lame de verre
à faces planes parallèles à la face plane d i; I."rijl*.;. dispositif esr
éclairée par un faisceau de lumièr" *nnochromatique, de lo'gueur cl,onde
À::0-5i6 pm, qui tombe sur la face plane Jl ru lentille sous une incidence
normale (Figure 1)' on note par e la aistan"*;"*;;-l" i-"rille er la lame
(voir figure 1).
__1
1) Donner l'expression de,ra _difrereacg je .Lrarc!e géomékique ô* entre les rayors réfléchis
successivement sur la face convexe de la lentille et la Ëce supérie're àe ra lame, en ionction de e.
2) Existelt-ii une différence de m"r"h" oh^iq;.i" î", a"r, *yons ? Justifier vot " ,epoo.".3) Si oui, quelte est ta vateu. o. .rræ àitËr.nËoî'iïïù pr,yriqu. r
j] leauiEg ta différence de marche totale ô.
5) En déduire la forme des franges d,ioterférences.
Lr
?,iïî;ïi::ï.":::rî:: ::,u'u dlstance : o"'Ia re'Ia'fio n : e: (n, - J['';u)v-
;l r?:r*îT:i:'H:î;f{.î:T;"9ï,p:ïi11 o11,, en.r/R1 ) d: u sacha'r que r .a rr,
l1i,*ro .1i,1_ .y"n au ^i#;il""'#;;; .,ffi;L ii Ëffi ;ton, est cle 6 ffiffi, calculer le ravon
de courbure Rr de la face convexe de la lentille.
3], fflnff:iH:'l*:*:^î: l"fil;q.iys. a,une renrure r.r, de
lâil:T' j:.ii'i:ii-.Y9t:*3)Ltô*,il#'""##.'"ïili#:',,i:
réflexion, devient égai à ?,4 rnln.
Calculer Rz er I;;;;;; ar^iô". anneau sombre. Lt
Lz
1**r"i.t"" lRatti-aryg - Mïl
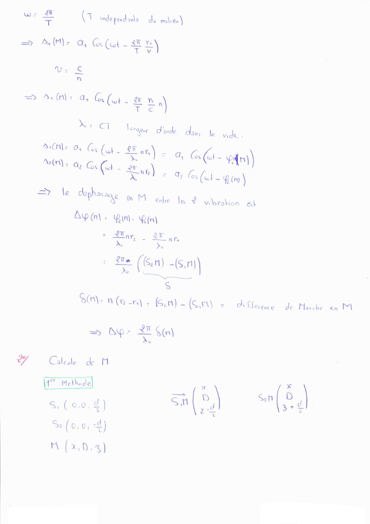
.,1' GonsrdéÎe urrc lame à face oarallèle d'épaisseur e et d'indice n ^un ra.yon incident sI de longueur d,onde L et
$ff.......iiit,Ï"ffi ff :î'ffi ',trffi îïf #*:,llH*ï*gm;Hl,mT#iiffi ,"ail,Ëir
s
1-
'l ::iY,t:l:l t:,iln*a en représenra't tes 4 premiers rayons réfléchis.
geo*Jtifi;Ëil#;
! --: -ion de n. e et r (angle de réflactiion) entre les cleux
premiers rayons réfl échis.
t Hi#J#ili#ffiH33f*tr du premier ravon réRéchi au poinr r, déduire re dephasage
i: J"1t;:itr,ffiË fl:,ffi_'_-*tltuentaire ? si oui cuene elt sa:atlT ? Jusrifier vohe éponse.
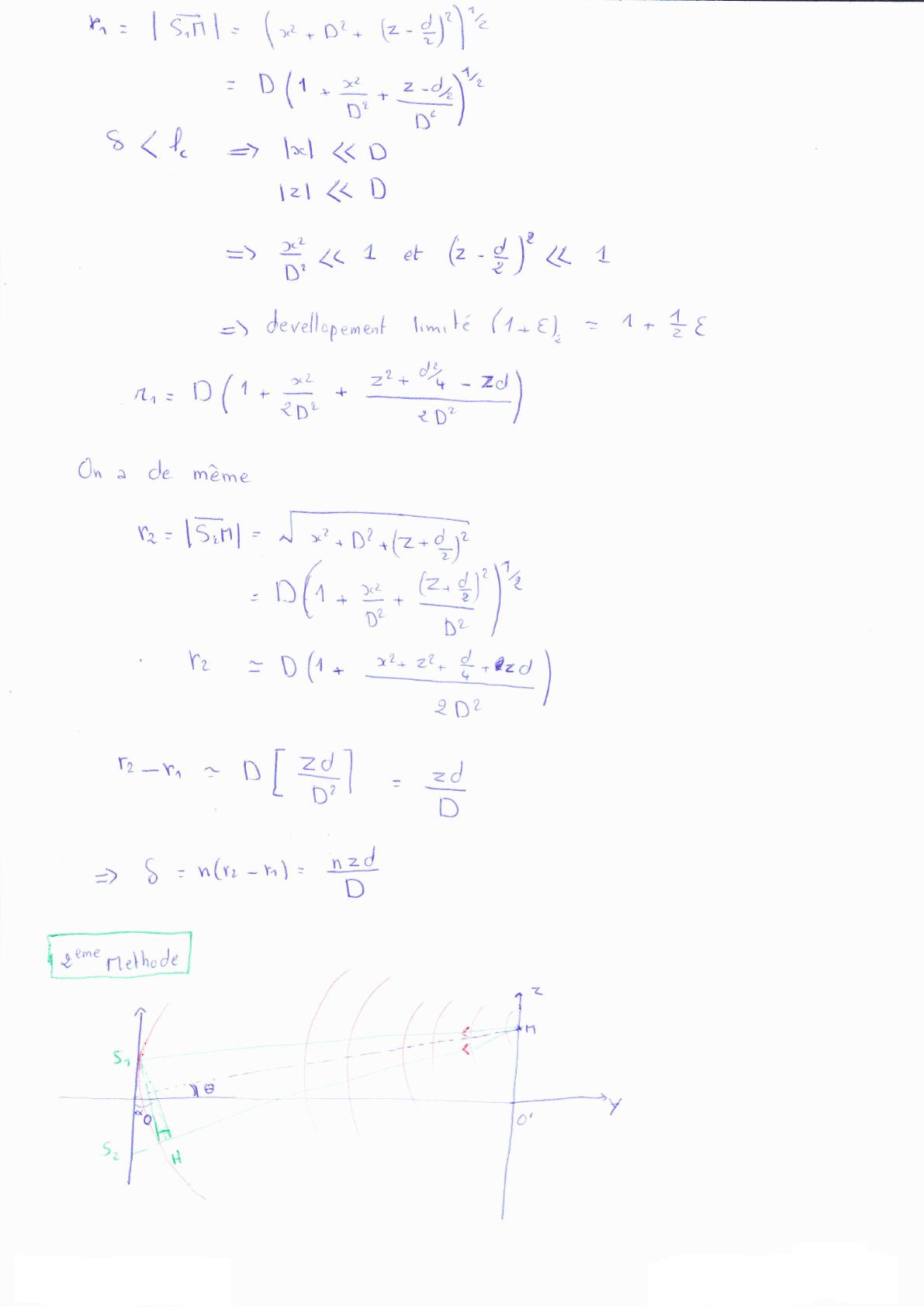
- j" qyr ,vp" a'-Ëie,"l*";$ffi; t* * écran E (placé au plan roca image J'ùe iJÏtliJioo"*g.",a
6- On s'intéresse aux deux premiui rayors réfléchis par la tame e
,_ Jn', J #: ffi *fi tt **gl#,** Li# #",:ffi R est petit (r-+, ), ca,c urer
. I "(r) = 2o,ft**- [ff *r, * ")]
E- Pour i et r petils, calculer t"(i) el en déduire l,ordre d,interférence pr(i).
?;.?ff *"Tifl iJ*lx;rullll*,,*imtil*Ttrfiffid;frangecenrare
trligure 2
IiI