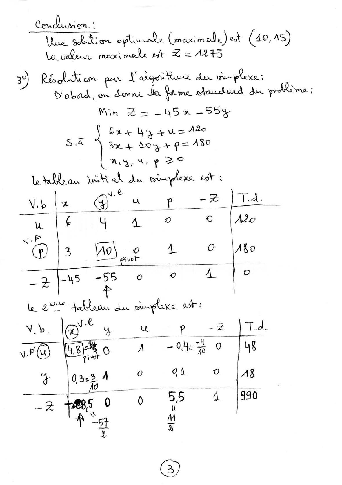
Examen Recherche Opérationnelle: Programmation Linéaire & Gestion de Projet

Telechargé par nourelkala009
www.elmerouani.jimdo.com
®El Merouani FP Tetouan
www.elmerouani.jimdo.com
®El Merouani FP Tetouan
www.elmerouani.jimdo.com
®El Merouani FP Tetouan
www.elmerouani.jimdo.com
®El Merouani FP Tetouan
www.elmerouani.jimdo.com
®El Merouani FP Tetouan
1 / 9 100%
La catégorie de ce document est-elle correcte?
Merci pour votre participation!

Faire une suggestion

Avez-vous trouvé des erreurs dans l'interface ou les textes ? Ou savez-vous comment améliorer l'interface utilisateur de StudyLib ? N'hésitez pas à envoyer vos suggestions. C'est très important pour nous!