Graphique: Energie, Déformation, Volume, Enthalpie

Telechargé par Abderrahim Nazhi
-12.6
-10.8
-9.0
-7.2
-5.4
-3.6
-1.8
0.0
1.8
3.6
5.4
7.2
9.0
10.8
12.6
14.4
16.2
18.0
19.8
MZ F
X
EF
AF
R
Energy( eV )
-3 -2 -1 012345
0.158
0.160
0.162
0.164
0.166
0.168
0.170
0.172
0.174
0.176
0.178
0.180
0.178
0.1744
0.1722
0.169
0.1664
0.1643 0.163
0.16
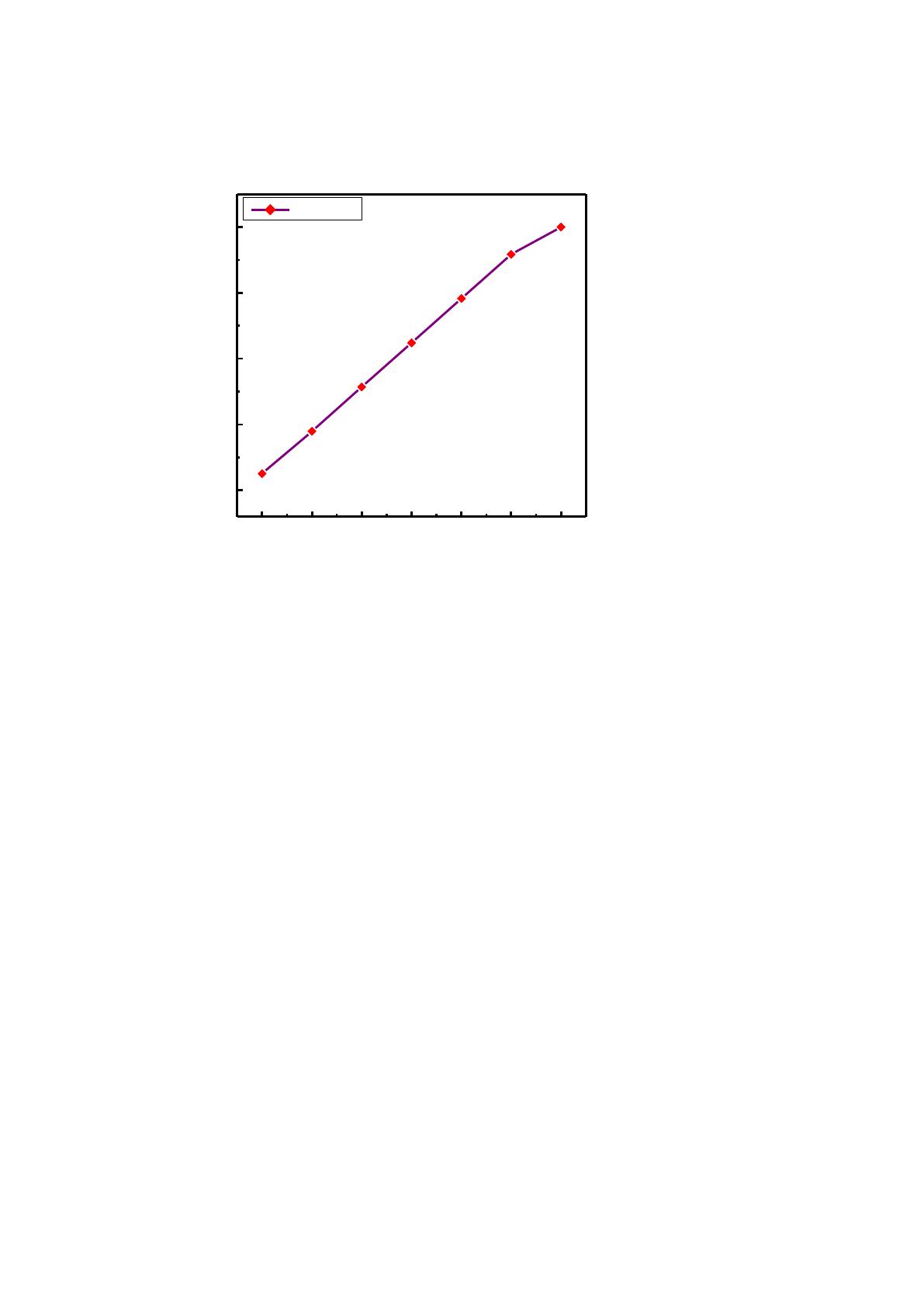
Fermi level Ef(eV)
Fermi level Ef(eV)
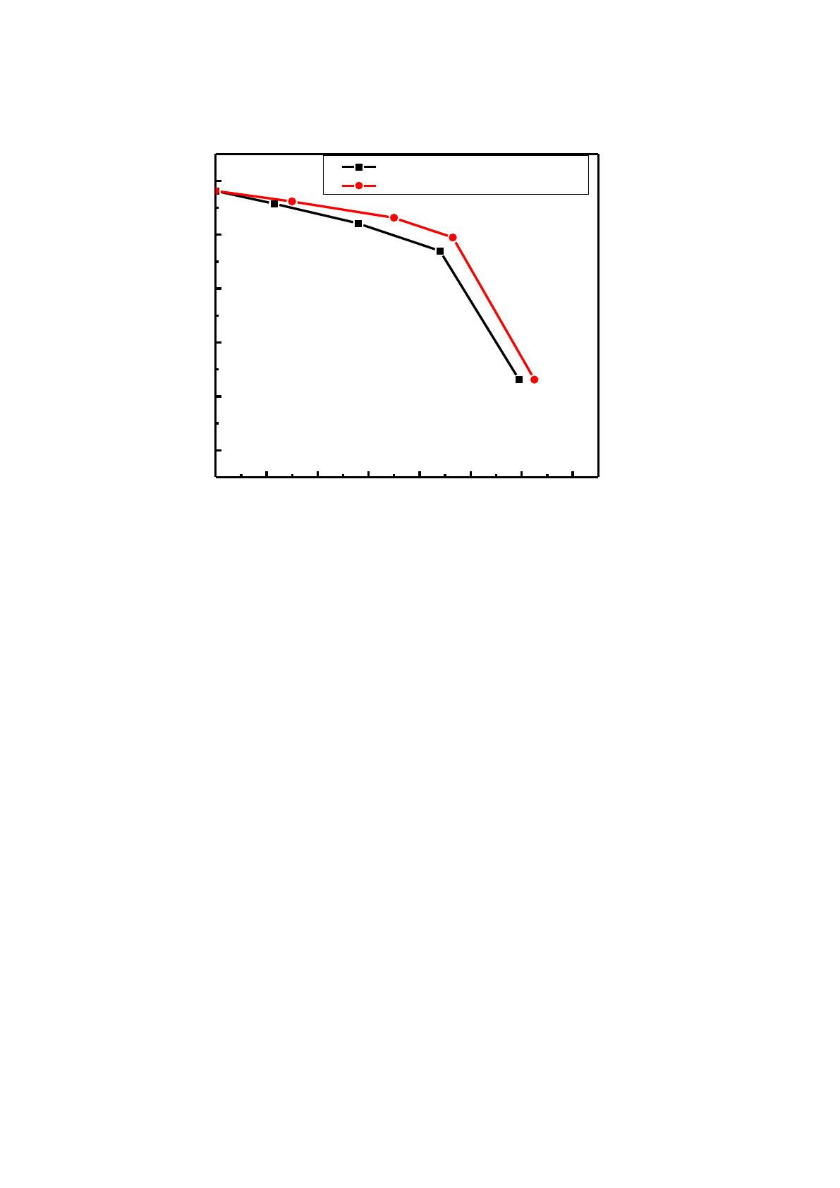
Deformation(%)
-8 -6 -4 -2 0 2 4 6 8 10
3.4
3.5
3.6
3.7
3.8
3.9
4.0
4.1
parameter a(Ang)
Deformation(%)
parameter a(Ang)
-3 -2 -1 0 1 2 3
325
330
335
340
345
Volume(Ang)
Deformation(%)
Volume
0 2 4 6 8 10 12 14
-10
-20
-30
-40
-50
-60
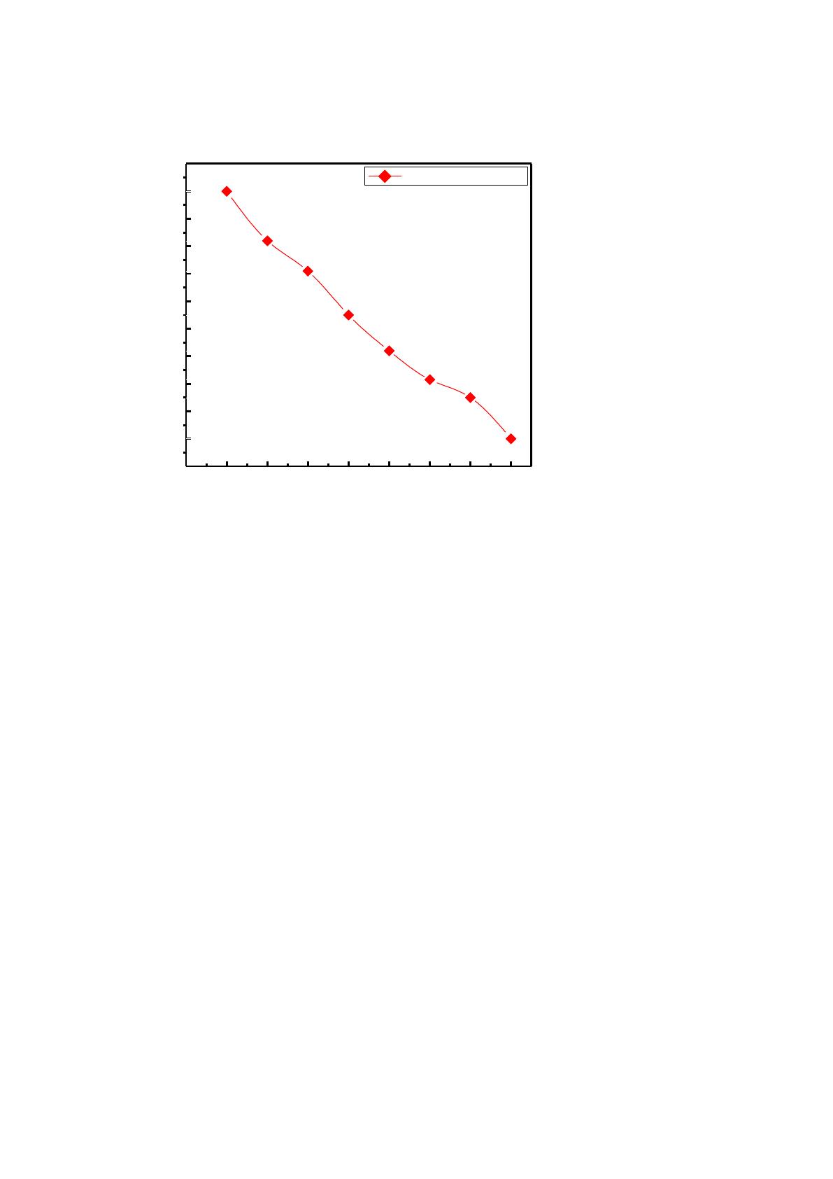
Enthalpie de formation ( eV )
Variation Volume DV/V (%)
Deformation en compression
Deformation en traction
1 / 5 100%
La catégorie de ce document est-elle correcte?
Merci pour votre participation!

Faire une suggestion

Avez-vous trouvé des erreurs dans l'interface ou les textes ? Ou savez-vous comment améliorer l'interface utilisateur de StudyLib ? N'hésitez pas à envoyer vos suggestions. C'est très important pour nous!