
Introduction
Jusqu'à présent, nous avons analysé des éléments passifs tels que des résistances, des condensateurs et des inductances, ainsi qu'un élément
actif (ampli-op). À partir de maintenant, nous allons considérer des circuits contenant des combinaisons binaires ou ternaires de ces éléments
passifs. Dans un premier temps, nous analyserons des circuits avec des résistances et des condensateurs (RC) ou des résistances et des
inductances (RL).
Dans l'analyse des circuits RC et RL, les lois de Kirchhoff sont utilisées comme dans l'analyse des circuits de résistance. Lorsque les lois de
Kirchhoff sont appliquées à des circuits composés uniquement de résistances, on obtient des équations algébriques, alors que des équations
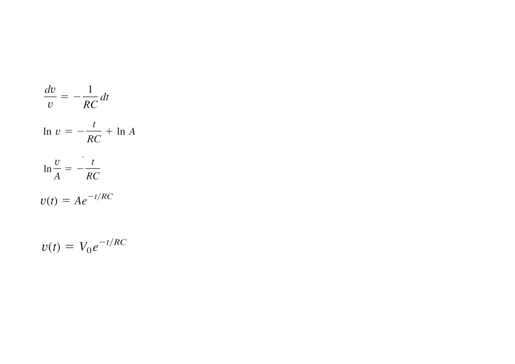
différentielles, plus difficiles à résoudre que les équations algébriques, sont obtenues dans les circuits RC et RL. Les équations différentielles
obtenues lors de l'analyse des circuits RC et RL sont des équations du premier ordre. C'est pourquoi ces circuits sont appelés circuits du premier
ordre.
Il existe deux façons d'exciter les circuits RL et RC. La première concerne les conditions initiales des éléments de stockage dans le circuit.
Dans ces circuits, définis comme des "circuits sans source", que l'énergie est initialement stockée dans les éléments capacitifs et inductifs. Cette
énergie fait circuler le courant dans le circuit et l'énergie est progressivement dissipée dans les résistances. Bien que les circuits sans sources
n'aient pas de sources indépendantes par définition, il peut y avoir des sources dépendantes dans le circuit. La deuxième façon d'exciter les
circuits du premier ordre consiste à utiliser des sources indépendantes. Les sources indépendantes dont il sera question dans cette section sont des
sources de courant continu.